找回密码
 立即注册

QQ登录

只需一步,快速开始

搜索

[角度/平直度] 关于平板平面度的计算方法?

 火..   [复制链接]
really 发表于 2014-2-18 14:16:41 | 显示全部楼层 |阅读模式
平板用对角线法手算平面度具体怎么算?规程后面的例子表格有部分看不懂的,希望前辈们赐教。
xqbljc 发表于 2014-2-22 16:28:25 | 显示全部楼层
使用“节距法”的平直度测量中,主标准器就是小角度测量仪器(水平仪),辅助工具为桥板,这里不存在什么凭空而出的“新的测量系统”或什么“新测量设备”的主观想象,这与自准直仪的检定等是同样的道理,自准直仪的检定中,主标准器就是标准量块(利用量块的尺寸差组成标准角),小角度检查仪就是辅助设备,如果把(标准量块+小角度检查仪)硬说成什么““新的测量系统”和什么“新测量设备”,大家会接受吗???

     先不讲是否存在什么“新的测量系统”分度值换算问题,既然清楚“水平仪分度值τ=0.005mm/m”,跨距Ld=180mm,那在换算时,“ad=0.005×180=0.9µm”,首先水平仪分度值的代入为什么只有一个0.005?而换算因子“mm/m”跑到哪里去了?跨距Ld的单位是mm应该没有异议吧,那最后结果0.9的单位µm又是从哪里冒出来的?这一切充分说明,换算系数1000(单位µm)是必须有的,否则,换算结果的单位µm永远无法交代清楚换算过程的正确性及单位µm的来源。

     关于“统一测量基准”的说辞,本人已经不屑于再给以驳斥了,大家都清楚根据严格的定义,测量基准只在“测量过程中”存有并被使用,那么在后期的数据处理(评定)过程中,就不再存有或使用测量基准的事实了,则“统一测量基准”的说辞就更是无风扑影的信口开河了。至于所谓的“累积法”根本就不是什么“方法”,它只是规程中使用表格数据处理中的一种方式,与此过程中莫须有的什么“统一测量基准”毫无瓜葛,完全就是风马牛不相及的事情,当然,将“统一测量基准”这样喋喋不休的说辞,归类至“三新”理论还是可以的,但前提是该理论要靠谱才好!

     “将每个读数值均减去第一个读数值42,使读数值变小。其原理是假设第一个读数42是水平仪的零值误差,每个读数均减去零值误差而得”的说辞,大家就当笑料看得了,不过楼上某位既然清楚“第一个读数值42”,也就是终于搞明白起始点0不再是仪器读数值了,这也算是微小的进步吧。否则,第一个读数值的前面还有第一个的第一个读数值,就更加乱套了。至于“原理是假设第一个读数42是水平仪的零值误差”的说辞,首先假设水平仪的零值误差为42,这零值误差如此之大,还符合JJG103-2005规程中的零值误差技术要求吗?这台水平仪还合格吗?不合格的水平仪还能使用吗?即使按你过去所谈水平仪的零值误差超差对水平仪的检测使用,不受影响(实际是严重影响),这里的“假设”零值误差为42与“胡设”又有什么不同?这样的所谓“原理假设”与错误、无知以及可能造成的误导又有什么不同?

     实际上“每个读数值均减去第一个读数值42”,仅是在数据处理过程中“使读数值变小”而已,方便下面的按比例内插的旋转平移量的计算,这与所谓什么“原理”的水平仪零值误差毫无关系,某位就不要再故弄玄虚了,也不要为自己的所谓“三新”理论再去给以新的“增砖添瓦”了,不“减去第一个读数值42”,或者都减去任意一个数,比如讲43、44、,最后得到的结果都是一样的。都减去同一个数值,仅是为了使用表格计算的方便,或者为了作图时的曲线(折线)不必太陡,以相对准确、方便作图,或节省作图的坐标纸罢了,还是那句话,希望楼上某位今后谈论计量技术要多少靠点谱,信口开河确实害人不利己的。

     平板规程中,并没有提到什么所谓的“解析法”,这“法”那“法”过滥,也就无“法”了,不就是某些量友谈到的“按比例内插”或者叫“平移旋转量”计算吗,0,42,86,132,176这列数,最后一个累积值(176)除以分段数n,不就是“按比例内插”的数,或者叫“平移旋转量”吗,176/n=176/4=44,至于这个44的正负号,按规定是加还是减“平移旋转量”不就得了。挺简单的事情,到了某位那里,又是什么未知数Q,又是什么列方程,那移项、方程两边同除以未知数的系数,也不可省略啊?卖弄规程已经描述的非常清楚的东西,确实有些“画蛇添足”,按正常的人的叙述方式就挺好。
回复 支持 2 反对 0

使用道具 举报

xqbljc 发表于 2018-6-30 17:52:32 | 显示全部楼层
         再次严正警告编造瞎话混迹论坛的跳梁老丑,其编造的什么“撤销....主笔...资格”的弥天大谎,将会面临多方的诉讼官司,嘴贱难耐且视法律如儿戏的老琉球,可悲的下场将会降临至其已无几多时日的凄凉末年,勿谓言之不预也!!!

        “角度单位mm/m”、“组合的测量系统.....平直度测量仪”以及什么“传感器....处理器....显示器”等这些臭气熏天的规氏歪理邪说,即使其磨磨唧唧的絮叨一万遍,也依旧是不可理喻且上不了大雅学堂的规氏伪理论,只能是臭不可闻的同即将消亡的老不正经一样,遗臭人间!

        “JJG117在2013年换版时所用例子并没有变......,后面的计算却原封不动地复制粘贴了老规程的数据”,这又是讲实话脸红的老琉球,在公众场合编造的弥天大谎。下面将JJG117-2005和JJG117-2013两个规程中数据处理示例的表2(e1a5截面),以图片的形式分别列出,由大家对学术流氓胡言乱语、编造瞎话的丑陋嘴脸给以识别:
         图片1:JJG117-2005规程中数据处理示例的表2(e1a5截面)
          2005.jpg

         图片2:JJG117-2013规程中数据处理示例的表2(e1a5截面)
            2013.jpg

          由以上仅是一个表2(e1a5截面),大家就可以从红、蓝框中的大相径庭,清楚的看出,学术流氓的所谓“原封不动地复制粘贴了老规程的数据”的弥天大谎,完全就是其编造瞎话不打草稿的恶劣行径!有请学术流氓、搅屎棍子给大家讲清楚,这-1.8相对于+1.8、δn=-3.6相对于δn=0、δi相对于δn的大相径庭,是如何“原封不动地复制粘贴了老规程的数据”?“原封不动地复制粘贴”又怎么可能出现符号、数字、字母的完全不同?呵呵,这样的“复制粘贴”功能只有规氏妖术才独家享有吧?!

        无需多讲什么(其它表格的错误先不讲),为老不尊之人瞎话连篇、讲实话脸红的拙劣行径、丑陋嘴脸暴露无遗,对此,相信大家都会识别的!



回复 支持 1 反对 0

使用道具 举报

xqbljc 发表于 2018-1-31 16:24:56 | 显示全部楼层
x86438751 发表于 2018-1-31 15:18
具体情况不是很清楚,我说的都是私下的行为, 我现在用的就是这种方法弄过来的,版本比较老,还没有加密 ...

       如你所讲,那你使用的软件就是老版本、老界面的了,这个老版本、老界面的软件本论坛就有,是免费的,无需向海克斯康索要。

       新版本、新界面的软件,在主标准器、依据的国家规程/国内外标准,以及受检点分布形式及评定基准位置的确定等诸多方面,都有较大及略微的改动,整体给人的感觉有些往瑞士维拉软件的界面上靠。由于是商业行为,就不再过多评论了。
回复 支持 1 反对 0

使用道具 举报

xqbljc 发表于 2014-2-18 23:12:33 | 显示全部楼层
楼主提出的“平板用对角线法手算平面度具体怎么算”的问题,由于现阶段绝大部分人都是使用计算机软件进行数据处理,所以,使用手算做数据处理的应该很少了,建议其去http://www.gfjl.org/viewthread.php?tid=27772&rpid=284430&ordertype=0&page=1#pid284430看一下,在那里,量友深圳渔民在5楼的解释是很细,也非常到位的,下面将量友深圳渔民的解释复制粘贴如下:

     假如直线度手算没有问题的话,平面度手算也不难。我们撇开公式不说(公式有时候会把人搅昏),其实检平板平面度就是在规定的位置检定若干条直线度,再把它拟合到一个平面上。我们想象把算好的各测量位置的直线度放在原位(它们是独立的直线度曲线,首尾为零),拟合的第一步,以一条对角线为基准;第二步,把另一条对角线的中心点拟合到作基准的对角线的中心点上,这需要把第二条对角线整体垂直平移,平移量是两条对角线中心点的差值。想象一下此时的空间图像,是一个搭好的十字骨架;第三步,选择任意一条边,将它拟合到十字骨架上,此时直线的一端和基准线的零点重合,将直线绕重合点抬起一个高度,使得另一端与另外一条对角线的端点重合,抬起的高度值就是两条对角线中心点的差值;第四步,依次将其他边线拟合到骨架上;第五步,拟合过中心点的两条直线,首先垂直平移直线,使其一端与某边线的中点重合(比如与a3点重合),然后再绕a3抬起直线,使另一端点与对应边线的中点重合(比如与e3重合),抬起量是a3与e3的差值。同样方法处理另外一条过中心点的直线。绕点抬起一高度,中间各点需要按比例内插,应该不用说啦。
计算熟练的话,25点的平面度计算,10分钟够了。建议大家有时间的话练习一下手算,权当是做个游戏,有助于对测量方法的理解。


     个人同意上面的说法“手算,权当是做个游戏,有助于对测量方法的理解”。

      如果楼主愿意在测量原理上搞得更透彻一些,可以看一下http://www.gfjl.org/viewthread.php?tid=164138&extra=&page=8中的180楼~185楼,总之,“对角线法手算平面度”,实际上仅仅牵扯一个两端点连线计算公式,其余那些众多的计算公式,实质上都是由一个两端点连线计算公式“变异”而来,没有什么难度的。
回复 支持 反对

使用道具 举报

规矩湾锦苑 发表于 2014-2-19 15:11:15 | 显示全部楼层
回复 1# really

  老兄因为“规程后面的例子表格有部分看不懂”,而那8个表是手工计算的,所以提出了“平板用对角线法手算平面度具体怎么算?”的问题。
  简单地说,平面度检测分为三大步。第一步布点采样,第二步统一测量基准,第三步误差评定。规程后面的例子那8个表格就是在完成布点采样后进行测量基准统一工作。这一步的目的就是将各个受检点相对于不同的测量基准读得的高度测得值统一到以中心点为共同的测量基准,以获得以同一个高度点为参照物的高度值,然后才能进入最后一步按规定的评定基准评定平面度误差。
  只要明白了那8个表格目的,怎么做就是我们测量者自己的事。其实表格还可以进一步简化,但基本的几个要求要做到:1将读数值通过由水平仪和桥板组合测量系统的分度值变成高度值;2用累计的方法将各测量截面的受检点高度统一到以截面起始点为测量基准的高度;3利用解析法或旋转法将终点与起始点等高得到该截面各受检点新的高度值;4通过四个角点和左侧边线相应关联点将各截面受检点高度最后统一到以中心点为参考物(基准)的高度值即可。
回复 支持 反对

使用道具 举报

xqbljc 发表于 2014-2-19 15:56:42 | 显示全部楼层
嗡、嗡、嗡的追身声音让人反感,早知道嗡、嗡、嗡的声音会如此的死缠硬打,本人也就不会来这里给楼主以建议了。避之不及啊,正确的选择就是远离!
回复 支持 反对

使用道具 举报

规矩湾锦苑 发表于 2014-2-20 11:45:03 | 显示全部楼层
  本人在另一个主题帖中已经明确表态,本人将积极响应量友关于“和为贵”的建议。“雾霾”来自哪里,人人心中有数,本人将一如既往地参与技术问题讨论,对于类似于4楼这种与技术讨论无关的任何内容将始终保持沉默。我在3楼讲述了新版规程附录C的8个表目的是完成测量基准的统一,以及统一测量基准必须要做的四件事,下面以表C.1为例详细说明3楼步骤1至步骤3的计算:
  1.关于桥板与水平仪组合成一个新的测量系统后,新测量设备的分度值计算:
  桥板跨距L分别为Ld=180mm,La=152mm,Lb=95mm,水平仪分度值τ=0.005mm/m(注:标准误为0.001mm/m,应加以更正),根据公式(B.1),ai=τLai′ 则ad=0.005×180=0.9µm,aa=0.005×152=0.76µm,ab=0.005×95=0.475µm。
  2.各测量截面以起始点统一测量基准:
  a1e5截面为例见表C.1:读数(格)分别为:0,42,44,46,44,用累积法统一测量基准为:0,42,86,132,176。
  说明:表C.1第4列数据是为了“手工”计算方便,将每个读数值均减去第一个读数值42,使读数值变小。其原理是假设第一个读数42是水平仪的零值误差,每个读数均减去零值误差而得。如果用微机的电子表格计算,这种假设也就毫无价值了,所以计算中我略去了这个假设。
  3.用解析法将终点176与起始点0等高:
  解176+4Q=0得Q=-44,分别乘以受检点顺序号0、1、2、3、4得0,-44,-88,-132,-176;与统一基准后的数据相加得到:0,-2,-2,0,0。
  将读数格值变为高度值:以上结果再乘以新测量系统分度值ad=0.9µm得0,-1.8,-1.8,0,0。这就是表C.1的第8列也是最后一列数据。
回复 支持 反对

使用道具 举报

规矩湾锦苑 发表于 2014-2-22 21:37:18 | 显示全部楼层
  1.“节距法”平直度检测使用的测量设备是由桥板和小角度测量仪(包括水平仪、自准直仪等)共同构成,只是几何量计量界的共识,如果对测量仪器与辅助设备组合在一起是不是可以构成一个崭新的测量设备还是无法理解,因为我已多次重复进行了解读,不能再重复了,本人只能建议楼上去看看JJF1001和GB/T19022、GB/T19000中“测量设备”的定义了,这些标准和规范有的已经发布实施多年,相信大多数计量工作者是理解的。
  2.换算系数1000为什么必须取消的问题,我也多次说明。如果每个符号都带自己的单位参加运算并不是不可以,只不过麻烦一点罢了。L=180mm,τ=0.005mm/m,全部以“微米”统一计量单位后:L=1.8×10^5µm,τ=0.005mm/m=5µm/(1×10^6µm)=5×10^(-6)。
  如果公式继续保留系数1000,那么a=1000τ·L=1000×(1.8×10^5µm)×[5×10^(-6)]=900µm;
  公式删除系数1000后,a=τ·L=(1.8×10^5µm)×[5×10^(-6)]=0.9µm;1000的去留还用说吗?
  3.关于受检点的序号和读数问题。五个受检点,楼上认为是0、1、2、3、4,还是1、2、3、4、5都没有关系,但“起始点”总之是排序最前面的那个,前者是0,后者是1。其中排序第二的读数42正是以排序第一的受检点为测量基准读得的数据,至于排序第一的受检点读数0,楼上不认为是仪器上读得的,或者是天上掉下来的,我也没有意见。
  排序第二的受检点读数为42,只要“假设”42是水平仪的零值误差,就意味着水平仪零位设定在显示值42处,第一个读数为42时就理应读为0,那么所有的受检点读数也就都应该减去42,这也是表C.1的第4列数据来源的理论基础。用计算机电子表格软件计算时减去42完全是多余的一步,所以我以前说过水平仪的零值误差大小在使用节距法时没有任何影响,在本主题帖5楼我也特意列出了不减42的算法。
  当然楼上说为了作图法方便,也不无道理,我并不反对。但如果并未使用作图法时,以作图法为由也就失去了根基。所以,根本理由还是假设第一个读数就是水平仪零位。这和用指示表打跳动一样,指示表的初始读数可以调整到0,但大多数人测量时并不作调整,不管它读数多大,测量者只要把那个读数当成0,在读取其它部位读数值时减去那个值也就可以了。
  4.关于这“法”那“法”
  平板规程只给出了计算表格,并未说明表格的计算使用了什么方法,但这并不等于这“法”那“法”不存在和没有被使用,也不能说明其它没用到的方法不能使用。正像楼上说的作图法,检定规程并未给出,但我不能说不能用作图法。楼上看出了0,42,86,132,176这列数,最后一个累积值(176)除以分段数n,就是“旋转量”,这的确是说到了点子上了。这也充分说明规程上8个表的第4列各减第一个读数,对使用计算机计算来说的确是多余之举了。
  不过楼上所说的解析法这个“旋转量”确切一点应该称为“单位旋转量”。单位旋转量乘以受检点的排列序号才是该受检点的实际“旋转量”。解析法的“旋转”与旋转法的“旋转”有明显的不同,即解析法的旋转中心始终设置在起始点上。因此单位旋转量不能没正负号,正负号在计算中起着自动识别旋转方向的作用。至于我是不是“画蛇添足”,是不是按正常人的叙述方式在叙述,以及楼上其它非礼貌用语,就恕本人不回复了。
回复 支持 反对

使用道具 举报

深圳渔民 发表于 2014-2-24 10:04:08 | 显示全部楼层
水平仪是以大地水平作为“零点”的,第一段的值(42)应该理解为与大地水平的差值,第二段的值是对第一段的差值,......。归零也好,不归零也好,都可以计算。把42假设成水平仪零值误差对理解不见得有什么帮助。
回复 支持 反对

使用道具 举报

深圳渔民 发表于 2014-2-24 10:24:10 | 显示全部楼层
当水平仪和桥板组成为一个测量系统后,水平仪的读数就和自身没有什么关系了,它始终反映的是桥板两点连线与水平面的夹角(当然需要经过计算),若认为桥板的一点在水平面上,则读数反映的是另外一点对前一点的高差。正是基于这个假设,我们沿直线挪动桥板,使其首尾相连,得到每一段后点相对前点的高差,它是若干线段组成的折线。通过计算,我们可以得到所走过路线的直线度。不知这样说是否容易理解些?
回复 支持 反对

使用道具 举报

规矩湾锦苑 发表于 2014-2-24 12:22:46 | 显示全部楼层
本帖最后由 规矩湾锦苑 于 2014-2-24 12:31 编辑

老兄关于“当水平仪和桥板组成为一个测量系统后,水平仪的读数就和自身没有什么关系了”的话直截了当,说得太好了。因为此时新的组合测量系统分度值已不再是水平仪原有分度值了,新旧测量设备分度值间的关系式是a=τ·L,新分度值的计量单位已经从原来的mm/m变成了µm。不管桥板的前一点是否在水平面上,则读数反映的“始终是另外一点对前一点的高差”。因此读得的格数ai′ 乘以“组合测量系统”的分度值a,就是“每一段后点相对前点的高差”ai,与前一点在不在水平面上已毫无瓜葛。这就是新版规程公式(B.1):ai=τ·L·ai′的来源,式中τ·L就是组合测量系统的分度值a。
  “正是基于这个假设,沿直线挪动桥板,使其首尾相连,得到每一段后点相对前点的高差”,这句话说得也是非常到位的。这说明平直度检测的是“高差”不是“角度”,并且这个高差是后点相对前点得到的,“前点”是“后点”读数的参考对象,即前点是后点的“测量基准”。因此节距法的测量基准在测量中不断地变化着,各受检点高度读数必须统一测量基准后才有价值。这也是节距法测量平直度误差为什么离不开数据累积这一步的原因。读数“累积”的目的就是将各受检点读数以起始点为同一个参考对象(测量基准)得到可以相互比较高低的数据,然后才能再按规定的评定基准通过直线度误差评定计算,得到组合测量系统所走过路线的直线度。
  至于用“桥板两点连线与水平面的夹角”解释节距法工作原理,不能说就是错误,但复杂化了。小角度测量是水平仪的工作原理,这个工作原理是正确的。但水平仪与桥板组合后已形成了新的测量系统(测量系统也是一个完整的测量设备),新的测量系统工作原理已经从水平仪工作原理基础上得到升华,新测量设备上读得的格数乘以其分度值a就是“后点相对前点的高差”,简捷而明了,不必再回过头去与“大地水平的差值”相联系加以解释。
回复 支持 反对

使用道具 举报

xqbljc 发表于 2014-2-27 13:23:03 | 显示全部楼层
本帖最后由 xqbljc 于 2014-2-27 13:33 编辑

7楼的某位,大家应该会记忆犹新的,想当初自称为“下里巴人”,但现在竟然要代表“几何量计量界”发布什么“共识”了,现实版的改头换面吧?!

      “节距法”的平直度检测中,由于使用了主标准器水平仪和辅助工具桥板,则(水平仪+桥板)就不是原来的主标准器和辅助工具了,而衍变成为什么“崭新的测量设备”了,如果照此极端偏执的教条理解“测量设备”的定义,那么几何量计量专业将是一片乱象:
       1. 量块量值传递的检定中,主标准器标准量块和辅助设备乌氏干涉仪、量块检定仪,则(标准量块+乌氏干涉仪、量块检定仪)就不再分别是原来的主标准器和辅助设备了,而衍变成为什么无名氏的“崭新的测量设备”了;
       2. 自准直仪的检定中,主标准器标准量块和辅助设备小角度检查仪,则(标准量块+小角度检查仪)就不再分别是原来的主标准器和辅助设备了,而衍变成为什么无名氏的“崭新的测量设备”了;
       3.平面平晶的检定中,主标准器标准平晶和辅助设备等厚干涉仪,则(标准平晶+等厚干涉仪)就不再分别是原来的主标准器和辅助设备了,而衍变成为什么无名氏的“崭新的测量设备”了;
       4.水平仪检定器的检定中,主标准器标准量块和辅助设备立式光学计,则(标准量块+立式光学计)就不再分别是原来的主标准器和辅助设备了,而衍变成为什么无名氏的“崭新的测量设备”了;
       5. ........................................。
      不再去多谈了,如果按照某位极端偏执的教条理解“测量设备”的定义,按照那个毫无道理的“逻辑”,那么几何量计量专业,许许多多所建标准的名称问题,必然会是一片乱象,大量的无名氏将会出现,主标准器和辅助设备也将无法区分,这不就是明显的“搅混水”吗?!

      规程中之所以有一个换算公式,这是针对将测量过程中获得的角度测量值换算为线值微米而设立的,其换算系数1000的问题,应根据相关法规性技术文件对单位间换算的规定进行取舍。我们先不讲是否存在什么“新的测量系统”分度值换算问题,大家先看一下,楼上某位在换算系数1000的问题上,是如何偷梁换柱、胡搅蛮缠来给以“搅混水”的吧。首先,换算公式中讲的非常清楚,跨距L的单位是mm,也就是L=180mm,而某位L=1.8×10^5µm的所谓“全部以“微米”统一计量单位”的说辞及做法,明显就是在偷梁换柱,将问题搞乱,将跨距L的单位由mm换为µm后,跨距的数值扩大了1000倍,这必然导致了后面的换算结果a=1000τ·L=1000×(1.8×10^5µm)×[5×10^(-6)]=900µm扩大了1000倍,这样的“搅混水”小伎俩,应该是不会瞒过大家的眼睛的。楼上某位不说其在胡搅蛮缠,起码是非常不够讲究的,把精力、能力都放在这些小儿科伎俩上,有意思吗?

      其次,大家再看一下某位的τ=0.005mm/m=5µm/(1×10^6µm)=5×10^(-6)式子,仪器的分度值并不是一个多么复杂的问题,由于mm/m按照JJF1001一词一义的原则,只能按换算因子来认知,也就是换算因子mm/m=1/1000,则τ=0.005mm/m=0.005/1000(单位rad),所以,某位给出的式子,就只能是将简单问题给以复杂化的“搅混水”了,而就是这个有意复杂化的过程,出现了5µm/(1×10^6µm)的错误写法,这个式子中,分子与分母都分别使用了词头µ,而这是与国家强制性标准中,明确规定的词头使用规则相违背的。楼上某位可以继续“扯”或“绕”,但正确使用词头的规则,大家都应该遵守。

     换算公式中换算系数1000的问题,本人也不去多谈了,如果按照换算系数1000的单位为µm(1mm=1000µm),跨距L的单位是mm,那么换算结果应该如下:
             a=1000τ·L=1000µm×180×0.005/1000=0.9µm
      上面的换算公式对单位间换算的由来、过程及正确的结果表述的非常清楚且正确,不是某位可以任意“搅混水”的。希望,楼上某位今后在谈计量技术问题时,能够稍微“讲究”些。
回复 支持 反对

使用道具 举报

规矩湾锦苑 发表于 2014-2-27 23:33:35 | 显示全部楼层
  技术讨论各人发表各人的观点,有不同意见可以本着正确的态度指出或者评论,但没有必要对别人的观点甚至人身恶意攻击,攻击式的语言量友们早已深恶痛疾。
  楼上一连串举了四五个例子,目的无非是否定“实现测量过程所必须的测量仪器、软件、测量标准、标准样品(标准物质)或辅助设备或它们的组合”都是测量设备这个定义,特别是否定其中关于任意两个或两个以上测量设备的组合也是一个完整的测量设备,否定仪器水平仪与辅助设备桥板的组合是一套完整的平直度误差测量设备。以楼上所说的自准直仪检定为例,主标准器量块和辅助设备小角度检查仪,分开来都是独立的测量设备,但合起来也是一套完整的测量设备,所以(标准量块+小角度检查仪)变成为“崭新的测量设备”准直仪检定装置了,量块和小角度检查仪都变成了准直仪检定装置的组成部分,两个组成“部件”缺一不可。这个测量设备定义表达的新观念,别人已几次三番强调,但如果仍然坚决反对,各人坚持个人的观点就是了,毕竟谁也不会强加于谁,只有恕本人无能不再重复解释了。
  至于新版规程纠正了旧版规程公式中系数1000的问题,我认为我的解释已经非常清楚。楼上坚持认为旧版规程的错误是正确的,给出的换算过程是:
             a=1000τ·L=1000µm×180×0.005/1000=0.9µm
  “换算系数1000的单位为µm”,“换算系数”会有计量单位吗?跨距L的单位是mm,本来毫米换算成微米就存在着系数纯数字1000。跨距180明明有计量单位mm,硬生生变成了纯数字;水平仪分度值0.005明明有计量单位mm/m,却非要把分度值的计量单位看着为纯数字的换算系数,把分度值0.005mm/m变成0.005/1000,不就是因为分母的计量单位m变成分子的计量单位mm,分子分母相同单位被约掉吗?既然m变成mm乘系数1000,桥板跨距的单位mm变成微米要不要乘1000,其计量单位又哪里去了?如果mm变成微米也必须另乘1000,前面那个系数1000又从何而来?我相信明眼人一看也就明白了。
回复 支持 反对

使用道具 举报

xqbljc 发表于 2014-3-3 16:29:24 | 显示全部楼层
本帖最后由 xqbljc 于 2014-3-3 16:42 编辑

无聊的“前言”或“概述”=唧唧歪歪的抱怨,不屑于搭理就是了。

      JJG117规程中角度值换算为线性值的换算系数1000(单位µm)问题,个人的观点:是将正确的东西修订为错误的东西,是对前人包括某位现任起草人历史上付出辛苦劳动的不尊重。但要相信随着时间的推移,随着施行过程中问题的出现,目前错误的东西终究会得到纠正的。

      实际上, JJG117-2013规程在颁发后,还没实施前,就出现了问题。由于换算系数1000(单位µm)被去掉,规程中的附录E《平板工作面平面度测量结果不确定度评定》,在估算各个不确定度分量的过程中,由于规程错误的去除了换算系数1000,造成了不确定度分量的估算(包括单位换算)过程无法自圆其说的乱象。下面将 JJG117-2013规程中的附录E部分内容粘贴如下,我们大家共同来分析讨论:

       b=0.6的单位.jpg

      上面的一段文字描述和计算、换算式子,清楚的表明了水平仪的分度值为τ=0.001mm/m=0.001/1000(单位rad),桥板跨距L=195mm,a′=2个字,矩形分布b=0.6(分布因子应该无单位),但是在计算、换算式子中,仪器分度值以错误的以0.001带入,换算因子mm/m(1/1000)莫名其妙的失踪了,分布因子0.6被硬生生的强加上单位µm,这太不可思议了,在无法的交代清楚计算、换算的过程及单位的来源后,竟然可以错误+无奈对分布因子0.6强加上单位µm,这太不讲究了吧?!如此不可思议的错误在规程附录E中多次出现,欢迎有兴趣的量友们去查看。此事清楚的表明了:规程错误的去除了换算系数1000,首先给其自己带来了无奈及一系列的错误连篇。

     如果换算系数1000不被去掉,则正确的,也能够完全交代清楚不确定度分量数值单位的来源式子应该如下:

            带系数1000.jpg

       会“扯”会“绕”的,不如会看会听的,毕竟大家都有识别能力,那些什么““换算系数”会有计量单位吗”?“跨距180明明有计量单位mm,硬生生变成了纯数字”,“把分度值0.005mm/m变成0.005/1000”,以及不靠谱的“分母的计量单位m变成分子的计量单位mm,分子分母相同单位被约掉吗”等等,又“扯”又“绕”所谓疑问的奇谈怪论,还有给以批驳的必要吗?!

      单位之间的换算,应该也必须遵循国家强制性标准的规定,那就是要交代清楚,换算为新的单位的来源过程,要乘以具有单位的换算系数。正如国家强制性标准中所举的例子:钠的一条谱线的波长λ=5.896×10^(-7)m,当要将该物理量单位m换算为nm时,由于1m=10^9nm,则换算系数就是10^9,在换算过程中的公式中,就应该写为λ=5.896×10^(-7)m=5.896×10^(-7)×10^9nm=589.6nm,这里式子中5.896×10^(-7)的单位m就是被“活生生”没有了,而乘以的换算系数10^9就是有单位nm的。不多说什么了,这个单位换算的事情,本人在过去不少帖子中都详细的谈过,此次应该是最后一次重复,有兴趣的量友们可以去查看国家强制性标准,有质疑的楼上某位也可以去质疑国家强制性标准,我们静观楼上某位的“扯”或“绕”。
回复 支持 反对

使用道具 举报

tcaw 发表于 2014-3-12 19:45:42 | 显示全部楼层
好像在比武……
回复 支持 反对

使用道具 举报

规矩湾锦苑 发表于 2014-3-12 23:41:54 | 显示全部楼层
本帖最后由 规矩湾锦苑 于 2014-3-12 23:48 编辑

呵呵,有人仍然“绕”不出那个“1000”。不知13楼认为正确的第二个式子中“换算系数”1000的计量单位来自何方,人们不禁要问计量单位的换算系数也有计量单位吗?桥板跨距195mm和水平仪分度值0.001mm/m的计量单位又弄到哪里去了?
  第一个式子是JJG117-2013纠正了旧版规程错误后给出的,计算过程是清楚的、正确的,反而13楼认为是错误的。因为那个带根号的分数因为是等于1的纯数字,为了方便观察,本人就不输入了,那么剩余的就是:
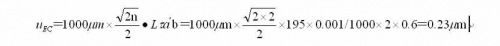
  u(EC)=L·τ·α′·b,
  式中:L为桥板跨距195mm,τ为水平仪分度值0.001mm/m,α′为格数2,b为矩形分布系数0.6,将这些数据连同其计量单位全部代入u(EC)=L·τ·α′·b 可得:
  u(EC)=195mm×0.001mm/m×2×0.6=0.23mm·mm/m。
  众所周知1m=1000mm,1mm=1000µm
  因此计量单位的组合mm·mm/m=(1000µm)×(1mm)÷(1000mm)=1µm,所以0.23mm·mm/m=0.23µm。旧版规程多出个莫名其妙的换算系数1000,究其根源就是没把1mm/m当成量值看待,没有把mm/m当成是个计量单位,把量值1mm/m看成了0.001纯数字,也就是说把数字1当成了数字0.001,以至于不得不弄出来一个带着计量单位µm的可笑“换算系数”。
回复 支持 反对

使用道具 举报

xqbljc 发表于 2014-3-13 15:34:10 | 显示全部楼层
以信口开河、胡“扯”善“绕”著称于论坛的楼上某位,憋屈了10天给出笑料百出的15楼帖子,其制作笑料所抖出的“包袱”太有才了。

      楼上某位的疑问“换算系数1000的计量单位来自何方,计量单位的换算系数也有计量单位吗”?还是由其采用自问自答的方式好,其在15楼帖子的最后明确写有“1mm=1000µm”,这不就是明确告知大家换算系数1000及其单位µm由何方而来了吗?!还有必要揣着明白装糊涂吗???至于“桥板跨距195mm和水平仪分度值0.001mm/m的计量单位又弄到哪里去了”的疑问,首先我回答水平仪分度值0.001mm/m的计量单位疑问,由于分度值τ是“单位一”的量,其(0.001mm/m)的具有专门名称的单位弧度(rad)“一般并不明确写出”,所以这“一般并不明确写出”并不是某位装傻所言“又弄到哪里去了”。至于,“桥板跨距195mm的计量单位又弄到哪里去了”的疑问,我们放在帖子的后面继续由楼上某位采用自问自答的方式给出答案。

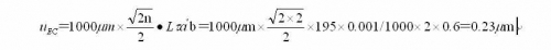
     我在13楼提出JJG117-2013规程中的附录E部分,由于规程错误的去除了换算系数1000,造成了不确定度分量u(EC)的估算(包括单位换算)过程无法自圆其说的乱象错误,而楼上某位则认为“计算过程是清楚的、正确的”,我重复性的将规程中不确定度分量u(EC)的估算(包括单位换算)式子粘贴如下,大家共同分析、评议:
       规程中的分量计算.jpg

      我们的质疑如下:分度值τ=0.001mm/m,仅以0.001代入计算是不是错误?分布因子b=0.6有单位吗?给数值0.6强加一个单位µm是不是错误?某位不要回避质疑,敢正面回答上述问题吗?这样错误明显东西,某位还要狡辩“计算过程是清楚的、正确的”,其亏不亏心???

      实际上我在13楼帖子的最后一段已经讲明了:单位之间的换算,应该也必须遵循国家强制性标准的规定,并使用标准中给出的例子做出了详细的解读。楼上某位可能根本看不懂,也可能根本就不看。为了使大家不被其误导,我再次重复性的将国家强制性标准的规定原文粘贴如下:
       GB单位换算.jpg
      我们在此质问楼上某位:国家强制性标准的规定能够看懂吗?,举例中数值5.896×10^(-7)的单位m被“弄到哪里去了”?(类同自问:“桥板跨距195mm的计量单位又弄到哪里去了”?)换算系数10^9又“来自何方”?换算系数10^9的计量单位nm又“来自何方”?某位能够看懂国标中“与单位的选择无关”话语的技术含义吗?某位不要回避质问,敢正面回答上述问题吗?

      楼上某位认为我关于不确定度分量u(EC)的估算(包括单位换算)是错误的,是在“绕不出那个1000”,我首先将自己给出的式子重复性粘贴如下,由大家评议对错,本人不发表意见:
       正确的计算分量.jpg
      我们再在上式的基础上,改一下格式、顺序,完全套用国家强制性标准的规定和举例,则:
            套标准的分量计算.jpg

       本人什么也不想多说,毕竟换算系数1000放在式子的前还是后应该没有问题吧?以“拧种”自称的楼上某位可以去质疑国家强制性标准了,但其有那个学识、能力和胆量吗???

    (后续)
回复 支持 反对

使用道具 举报

xqbljc 发表于 2014-3-13 16:26:07 | 显示全部楼层
(续16楼帖)

       我们再回过头来看15楼的帖子,楼上某位在不确定度分量u(EC)的估算(包括单位换算)的式子中,为凑单位也为凑数,竟然爆出了更大的笑料,给出了下面不伦不类的式子,大家奇文共欣赏吧:
      u(EC)=195mm×0.001mm/m×2×0.6=0.23mm·mm/m
      大家仔细看一下,见过并使用过这样所谓的“计量单位的组合”吗(mm·mm/m)?某位随心所欲的胡编乱造是不是信口开河、胡搅蛮缠?是不是在明目张胆的破坏国家法定计量单位的统一、正确使用和贯彻落实?这个莫须有的所谓“计量单位的组合”(mm·mm/m),究竟该如何来写?是写成m^2·m^2/m(红色为词头)?还是写成(mm)^2/m呢?这样所谓的“计量单位的组合”(mm·mm/m)又该如何来读呢?是读作:毫米毫米每米?还是读作:平方m(词头)平方米每米呢??还是读作平方毫米每米呢???莫非单位间的换算还要与面积((mm)^2)相牵扯?某位不考虑误导大家的其预期后果,只贪图其制作的笑料抖出的“包袱”是否语不惊人死不休,这不是不计后果、口无遮拦的胡编乱造又是什么?!这样的所谓“管理团队成员”(版主)是不是在抹黑论坛?应不应该被清除出具有很好口碑的论坛圣地???

      本人不想多说什么了。楼上某位由起初的小错误,发展至今天公然误导大家,破坏国家法定计量单位胡编乱造的大错误,均是打着本论坛允许“各人发表各人的观点”的幌子来散布的,其胡言乱语的信口开河是绝不会在道德、学识、伦理等诸多方面有任何底线的!这一切均源自其狂妄的“自称”(拧种)和其人格的缺陷以及教养的缺失。本论坛也可以继续对此保持沉默,此沉默类同于对楼上某位某种程度的纵容,某位不会有丝毫收敛的。

      大家继续静观。
回复 支持 反对

使用道具 举报

规矩湾锦苑 发表于 2014-3-14 14:21:07 | 显示全部楼层
  楼上某专家说来说去毕竟还是否定mm/m的计量单位地位,把计量单位mm/m当成了换算因子1/1000,就不用我再多说了。
  任何一个导出量在推导过程中其计量单位的表现形式都是多种多样甚至是非常复杂的,只有在整理和化简后才能表现出按“量纲”的简捷表示形式。平面度和平面度的不确定度之计量单位的导出也不例外,在其推导和演算过程中得到计量单位的组合形式mm·mm/m并不值得大惊小怪。
  有人将1mm·mm/m在演算过程中写成1(mm)^2/m应该是正确的,但楼上是极力反对的。其实此时将1m=1000mm代入表达式中进一步进行演算,则有:
  1mm·mm/m=1(mm)^2/m=1(mm)^2/(1000mm)=1mm/1000=0.001mm=1µm。
  楼上反对将1mm·mm/m在演算过程中写成1m^2·m^2/m(红色为词头),这是对的。但原因是词头符号不能与单位符号相分离,分离后将无法识别其是词头还是计量单位。若把词头改写为纯数字,词头代表的数字就可以与单位符号分离了。此时1mm·mm/m=1(10^-3)m·(10^-3)m/m=[(10^-3)^2]·(m^2)/m=(10^-6)·m=1µm,与上述写法的演算结果完全相同。
  导出量推导过程中的计量单位写成什么样,完全取决于计算工作的需要,这也是导出一个量或计量单位的魅力和乐趣。但在推导和演算中把某个单位与其它单位的乘除或自己的几次方一定看成就是另外一个量那就错了。演算过程中的m^2和m^3只是量的推导中的一个表达形式,有人一定把它们看成是面积和体积,那就可能闹笑话。
  例如功的单位焦耳(J)是由力乘以做功的距离而导出,因此实际的导出单位是N·m。N的导出单位则是kg·m/s^2,那么单位 J 可以在导出其它单位演算中为了单位相约或组合而写成kg·m·m/s^2或kg·(m/s)^2等,由此有人就一定认为功的单位焦耳是质量乘以距离再乘以加速度,或质量乘以速度的二次方,那就是可笑的了。
回复 支持 反对

使用道具 举报

xqbljc 发表于 2014-3-14 17:34:03 | 显示全部楼层
楼上某位回避正面质疑,不敢回答本人提出的问题,其内心是空虚的,前景是穷途末路的,尽管其胡搅蛮缠惹得大家厌恶,但其对得起“拧种”的自称,在“拧”或“邪”的风格上,其是名副其实的。

      文字“扯”、式子“绕”,再加上经常编瞎话,楼上某位在论坛的声誉极差,大家看:
      1mm·mm/m=1(mm)^2/m=1(mm)^2/(1000mm)=1mm/1000=0.001mm=1µm;
      1mm·mm/m=1(10^-3)m·(10^-3)m/m=[(10^-3)^2]·(m^2)/m=(10^-6)·m=1µm,
      上述东西都算些什么玩意呢?有必要与其没完没了的无意义纠缠吗?毕竟这些东西也不会给大家造成误导,论坛中有个笑料也不错,大家都可以轻松些,“呵呵”一乐。那就由其天南海北的“扯”或“绕”得了,毕竟某位的“扯”做其“魅力”,“绕”是其“乐趣”,编瞎话是其遗传风格,本人和大家就不要去剥夺其终身追求的“信仰”或本性了,其在做人的差距方面是不会有底线的!

      楼上某位好自为之吧。
回复 支持 反对

使用道具 举报

规矩湾锦苑 发表于 2014-3-14 20:28:58 | 显示全部楼层
本帖最后由 规矩湾锦苑 于 2014-3-14 20:31 编辑

1mm·mm/m=1(mm)^2/m=1(mm)^2/(1000mm)=1mm/1000=0.001mm=1µm;  1mm·mm/m=1(10^-3)m·(10^-3)m/m=[(10^-3)^2]·(m^2)/m=(10^-6)·m=1µm。
  看来某专家的确是看不明白上述这两个极其简单的演算过程是怎么回事了,不妨再略费点笔墨讲一下:
  众所周知m是计量单位,mm和µm也是计量单位,mm/m还是计量单位。其中m是基本单位,mm和µm是由词头和基本单位构成的组合计量单位,它们存在着换算关系1m=1000mm;1mm=1000µm;1m=1×10^6µm。m/m是由m和m两个基本单位的导出单位,mm/m是由导出单位m/m和词头m构成的组合单位,换算关系是:1mm/m=0.001m/m。上述提到的这些单位均符合“国务院令”规定的法定计量单位范畴,具有合法的地位。因此:
  对于第一个演算,mm和mm两个单位相乘写成(mm)^2完全合情合理,因为1m=1000mm,将式中分母的m用1000mm置换掉后,后面将分子的(mm)^2与分母的mm约掉一次方,最终得到演算结果1µm就是理所当然的事,还用多说么。
  对于第二个演算,把计量单位mm的词头改写为10^(-3)可得到1mm=10^(-3)m,mm和mm两个单位相乘写成(10^-3)m·(10^-3)m顺理成章。再将纯数字(10^-3)合并也就是10^-6,两个单位m相乘是m的二次方,除以一个m,只能剩余m的一次方,因此可得(10^-6)·m,而(10^-6)·m正是1µm。
  某专家之所以看不明白如此简单的演算,前面我说过根源就是否定了mm/m作为计量单位的法律地位。旧版平板检定规程的公式6在个别主笔专家的极力推崇下,无缘无故增加了一个系数1000,规程上的这个“系数”是没有单位的,是某专家在帖子中增加了单位µm。其实把mm和m两个单位相除,计算中统一计量单位后,约去分子分母相同的单位而得到1/1000,原本是正确的,问题就出在某专家又把桥板跨距的单位mm给遗弃了。因为1mm=1000µm而使计算结果整整差了1000倍,才不得不伪造一个什么带有计量单位的换算系数1000µm。换算系数本无单位,旧版规程未能把单位µm给予这个系数,以至于这个系数1000不伦不类地错了二十几年,新版规程给予了纠正完全是正确的,应该的。某平直度检测专家一定坚持把水平仪分度值的合法计量单位mm/m当成个什么“换算因子”、“换算系数”,只能由其便了,毕竟新版规程已经果断给予了纠正,不至于再误导大家了。
回复 支持 反对

使用道具 举报

xqbljc 发表于 2014-3-14 20:49:19 | 显示全部楼层
本帖最后由 xqbljc 于 2014-3-14 20:51 编辑

楼上某位既能“扯”、又能“绕”,这神经兮兮的,回到精神中心去吧!护士要给你吃药呢。
回复 支持 反对

使用道具 举报

规矩湾锦苑 发表于 2014-3-15 21:42:14 | 显示全部楼层
请记住楼上这种极其恶毒和过分的谩骂。这种“礼物”虽然出自我曾经崇拜过的知名平直度检测专家,出自一个曾经在我心中极具威望的计量界老前辈,但我是拒不接受的,即便是送给任何人也都不会有一个人接受。
      以前在某专家开骂之时,我为了维护其威望,侧面提醒其不要一见到不同观点的帖子就行讽刺挖苦和谩骂之举,曾经讲过一个故事。大意是释迦牟尼曾在一个人问“你为什么对恶毒谩骂不反驳?”的问题时反问:“如果你向某人送礼,他拒不接受,怎么办?”,那人回答:“只有自己拿回家。”释迦牟尼默然。当其明白我在本专题技术讨论中所说的道理时,相信自有“收回礼物”后悔不该骂人之日。
回复 支持 反对

使用道具 举报

xqbljc 发表于 2014-3-16 08:31:46 | 显示全部楼层
对于楼上某位这样胡搅蛮缠、编瞎话、公然误导大家没底线的无聊之人,指责的语言上没有什么过分之说,其确实该吃药了。

      楼上某位所谓“崇拜”、“极具威望”以及“前辈”等等说辞,统统都是假惺惺的表演,其尖酸刻薄、辱骂他人、编瞎话、栽赃陷害、以戏说、误导为乐,才是其真实面目,应该讲,已经有多位量友意识到某位在论坛的危害性、误导性,而不屑于搭理其了,其在论坛演戏、作秀、为害一方的日子应该也必须结束了。

      释迦牟尼的戏说还是放到佛教论坛去“扯”去“绕”吧,这里是计量论坛,非佛教圣地。

      楼上某位绝不会收敛,也绝不会后悔,毕竟其还有一点是真实的,那就是自称“拧种”的“下里巴人”,这一点,其是名副其实的!
回复 支持 反对

使用道具 举报

规矩湾锦苑 发表于 2014-3-30 23:55:10 | 显示全部楼层
对楼上某知名平直度检测专家大骂不同意见者“胡搅蛮缠、编瞎话”、“没有底线的无聊之人”、“确实该吃药了”的无理行为,本人仍然坚持不予理睬态度。本人孜孜不倦追求的是如何改进旧版《平板》检定规程的错误和不足,如何方便平板检定工作,如何把本不该复杂化的平板检定理论恢复其简单化的本来面貌。
      在另一个帖子依据上面各帖子中我所讲到的平面度误差检测理论编制了一个小程序,欢迎各位量友试用并诚心诚意希望量友们提出进一步改进意见,但绝对反对像某专家那样的谩骂和权威大棒。该帖子的链接地址如下:
          http://www.gfjl.org/viewthread.php?tid=171852&highlight=
回复 支持 反对

使用道具 举报

敲敲打打 发表于 2014-4-1 20:28:15 | 显示全部楼层
花了好久才搞懂,可以先学习直线度的计算,再看平面度计算,很有帮助,完了自己做个EXCEL计算
回复 支持 反对

使用道具 举报

您需要登录后才可以回帖 登录 | 立即注册

本版积分规则

Archiver|手机版|小黑屋|计量论坛 ( 闽ICP备06005787号-1|闽公网安备35020602000072号 )
电话:0592-5613810 QQ:473647 微信:gfjlbbs 原国防计量论坛(-=始于2005年=-)

GMT+8, 2026-4-6 20:51

Powered by Discuz! X3.5

© 2001-2026 Discuz! Team.

快速回复 返回顶部 返回列表