找回密码
 立即注册

QQ登录

只需一步,快速开始

搜索

[数据] 这样写标准化偏差对么?

[复制链接]
solarup 发表于 2014-2-25 08:27:29 | 显示全部楼层 |阅读模式
本帖最后由 solarup 于 2014-2-25 08:36 编辑

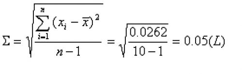
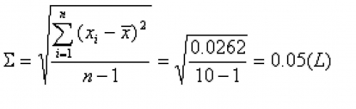
x.JPG
有两个问题
1:算式是否可以用等号?我看我们的教程中很多带有根号3之类算是后面也是等号,这样做对么?为什么?有没有依据。
2:用0.05(L)这样的写法对么?不是应该是0.05L么?谢谢指教
另外下面我中心有个技术报告中的内容:请问最后一行中的误差字样是否应该用极差代替?
  



取最大值 xmax=x4=101.92L

   


最小值xmin=x2=101.80L

  

file:///C:/DOCUME~1/ADMINI~1/LOCALS~1/Temp/msohtml1/01/clip_image004.gif

  

误差0.12L<0.28L,即误差值小于扩展不确定度,符合要求.

  
赵盼CCIC 发表于 2014-2-25 08:33:10 | 显示全部楼层
带有根号3之类的那是B类不确定度,你上面写的这是A类不确定度重复性计算。0.05后面带不带括号都可以,但是单位一定是要写的。
回复 支持 反对

使用道具 举报

 楼主| solarup 发表于 2014-2-25 08:35:26 | 显示全部楼层
带有根号3之类的那是B类不确定度,你上面写的这是A类不确定度重复性计算。0.05后面带不带括号都可以,但是 ...
赵盼CCIC 发表于 2014-2-25 08:33



   谢谢,但是我想知道这类直接截取无理数但是前面确是等号的依据在何处?另外我知道那个是不确定度的,但是这里和那边一样都是直接给出修约数值但是用等号,请问有依据么?
回复 支持 反对

使用道具 举报

赵盼CCIC 发表于 2014-2-25 10:07:28 | 显示全部楼层
本帖最后由 赵盼CCIC 于 2014-2-25 10:10 编辑

1059里面写的很清楚。哪来的无理数啊?那些符号都是代表数据,你在写报告时可是要说明的。可不是随便写的。
回复 支持 反对

使用道具 举报

 楼主| solarup 发表于 2014-2-25 14:41:46 | 显示全部楼层
1059里面写的很清楚。哪来的无理数啊?那些符号都是代表数据,你在写报告时可是要说明的。可不是随便写的。 ...
赵盼CCIC 发表于 2014-2-25 10:07
……
举例:JJF1059.1-2012举例A.1.3u(α20)=0.40×10^-6(℃^-1)/sqrt(3)=0.23× 10^(-6)(℃^-1)
式子中sqrt(3)为根3,是无理数,总结果也是最后结果精确到小数点后14位为0.23094010767585,根据式子算出的只是近似值,我是说这里的计算根据什么给的符号是等号而不是约等号?
根3是有理数??
回复 支持 反对

使用道具 举报

jiangjx 发表于 2014-2-25 14:44:02 | 显示全部楼层
回复 1# solarup


    JJF1059上数据修约都是用的等号。
1059截图.JPG
回复 支持 反对

使用道具 举报

赵盼CCIC 发表于 2014-2-27 08:08:50 | 显示全部楼层
回复 5# solarup


   这个是评估报告,各分量精确到很多位(一般各分量保留位数2-3位,比最后给出的结果多一位就可以了),到最后给出测量不确定结果是没有什么影响,所以就习惯性的写为等号,也不要这么较真,这毕竟是个评估结果。
回复 支持 反对

使用道具 举报

laofan1201 发表于 2014-2-27 08:42:13 | 显示全部楼层
1059中规定不确定度评定只保留两位有效数字
回复 支持 反对

使用道具 举报

moonkai 发表于 2014-2-27 09:26:09 | 显示全部楼层
我看书上在运算过程中,也要写上单位的。不能只是在最后结果的地方写上单位,另外标准不确定度一般保留1位有效数字,在运算中的中间数据可以多保留一位有效数字。
回复 支持 反对

使用道具 举报

measureme 发表于 2014-2-27 09:43:06 | 显示全部楼层
从数学上说,标准上的写法的确欠妥。本来是约等于怎么就直接写上等于了呢?
但是标准上都是这么说的,只好照办。
建议:在表示最终结果时,写上“取某某=多少”。
回复 支持 反对

使用道具 举报

规矩湾锦苑 发表于 2014-2-27 13:23:56 | 显示全部楼层
  的确如10楼所说“从数学上说,标准上的写法的确欠妥”,本来是约等于不能写等于。但这是“理论科学”的要求,理论必须较真,正像几何学规定的直线没有粗细,有了粗细就是圆柱。可是现实社会中绝对的真理是很难实现的,没有粗细的直线谁也没见过,这就是“应用科学”要解决的问题了。
  不确定度评定属于计量科学中应用科学的范畴,所谓评定是主观“评估”而不是数学“计算”,主观评估不可能100%准确无误,因此标准规定不确定度评定的结果最多保留两位有效数字,所以近似计算是必然的手段,“约等于”在评估中比比皆是,为了简化和直观,“约等于”和“等于”在应用科学中也就没有什么区别了。
  关于单位符号要不要括号的问题,理论规定运算过程中每一个量都带着自己的计量单位参与运算,最终计算结果就不应该加括号,如果每个量都不带计量单位参与运算,就相当于纯数字的计算,得到的也应该是纯数字,因此最终计算结果的计量单位就应该加括号,不加括号就是违规。实际工作中大家习惯于不加括号,因此加括号是正确的,不加括号也是可以理解的,不会产生误解。
回复 支持 反对

使用道具 举报

您需要登录后才可以回帖 登录 | 立即注册

本版积分规则

Archiver|手机版|小黑屋|计量论坛 ( 闽ICP备06005787号-1|闽公网安备35020602000072号 )
电话:0592-5613810 QQ:473647 微信:gfjlbbs 原国防计量论坛(-=始于2005年=-)

GMT+8, 2026-4-14 00:48

Powered by Discuz! X3.5

© 2001-2026 Discuz! Team.

快速回复 返回顶部 返回列表