找回密码
 立即注册

QQ登录

只需一步,快速开始

搜索

[概念] 论不确定度理论与误差理论的关系

 火... [复制链接]
 楼主| 史锦顺 发表于 2014-7-16 17:05:06 | 显示全部楼层
回复 457# 何必


      我有时谈些概念、理论,但都是接近实际的。对实际工作中没多大影响的事,我一般不考虑。你提的问题,我一方面觉得那是理论家的事,对实际工作无关紧要,另一方面我也确实不懂,没有看法。因此,我就不勉强答复了。以前我似乎看过标准方差与方差的期望值的计算公式,因为没看懂,也就忘记了。我认为实用的知识就是取样次数N要足够大。如测量频率值,要测量20次;而测量频率稳定度,必须测量100次,阿仑方差要求如此,想偷懒都不行。记得有一次我谈到阿仑方差诞生的背景时,说方差的期望值不存在,称为发散困难。国家计量院的专家崔伟群先生,竟说我文字不通,说期望是期望,方差是方差,怎能把二者混在一起。可见,崔先生也只知道随机变量的期望值,而没听说过标准方差的数学期望值这个“方差的期望”。可见,你的问题太专,我回答不了。
回复 支持 反对

使用道具 举报

规矩湾锦苑 发表于 2014-7-16 19:16:10 | 显示全部楼层
回复 456# njlyx

  既然lyx老师认为没有必要理睬国家标准/规范给定的术语定义真谛,没有必要“抠”国家给出定义的“字眼”,可以凭所谓自己认为的“实用”任意解读术语定义,那我们就不确定度和误差及误差范围术语定义的讨论就此终止吧,我们可以各自保留各自的观点。顺便再说一次,把不确定度与误差范围两个术语捣成一盆浆糊的人不是我,是另有其人,我的观点是它们泾渭分明,任何试图背离定义真谛而另行解读后,再将其捣成一盆浆糊的做法和想法都是错误的。
回复 支持 反对

使用道具 举报

 楼主| 史锦顺 发表于 2014-7-16 21:23:41 | 显示全部楼层
本帖最后由 史锦顺 于 2014-7-16 21:26 编辑

回复 457# 何必


   

你的问题,换一下术语,我就可以回答些。

我看过的统计学书不多;只是在误差理论的书籍中转,不熟悉统计学的术语。

我理解,横向的“总体”可以变成纵向的“无限”,而横向的N个采样,可以变成纵向的N次采样。纵向的思维,更适用于测量计量。

能不能这样说:总体均值就是平均值的期望值。样本均值就是测得值的平均值。样本标准差就是按贝塞尔公式算出的标准偏差,就是单值的σ。而总体的标准偏差就是单值的σ的期望值。如术语代换成立,则有:

1 标准偏差的标准偏差(σ的σ)是:

公式.JPG

N是测量次数(样本数)。例如N=9,标准差的标准差是1/4N=51.则标准差的标准差是1/10

此公式引自冯师颜编《误差理论与实验数据处理》(1964年,科学出版社)。冯氏给出的公式来历为:

         Rossini and Deming,J.,Wash.Acad.Sci.29(1939),416.

此文献很早(我没查过,也不会推导),大而老的图书馆,如北京图书馆、北大图书馆,肯定有。

-

2 如果说:样本均值就是测得值的平均值;总体均值就是平均值的期望值。于是,题目就变成平均值的σ是多少。

按贝塞尔公式算得的是单值的σ。平均值的σ记为σ(),则σ()等于σ除以根号N.

σ是均方根值,测量计量中的单值的偏差范围是3σ;而平均值的偏差范围是3σ()。偏差是统计测量(快变量测量)的称呼。经典测量是常量测量,讲究的是测得值对真值的偏离,要称作误差。

-

回复 支持 反对

使用道具 举报

路云 发表于 2014-7-16 22:06:25 | 显示全部楼层
回复 454# 规矩湾锦苑


1、我从来没有说过“不确定度”可以代替“误差范围”,我一直认为这两个是非同种量,无法比较。


2、“不确定度”与“误差范围”定义不同,考虑的因素与数据处理的方法也不尽相同,完全可以各尽所需,共存于世。对于要求不高的场合,完全没必要强推“不确定度”。


3、我个人认为“不确定度”如果不与对象关联(也就是您所认为所谓的定语),同样也无法确定它是什么的“不确定度”。它只是一个纯宽度指标,表达的是可靠度信息。所以我们只能将“不确定度”与“误差范围”中的纯宽度信息进行分析比较。我只能说它们在表达可靠度信息方面,功能相当,并没有说“取代”或“代替”的意思。因为纯宽度指标就是可靠程度的定量表征,纯偏移性指标(位置信息)可以通过修正的手段加以弥补。不同的方法或不同的测量器具,对同一被测量进行测量,各自所得到的测量结果可能不一致,具体体现在测量结果的偏移性和离散性两个方面。通过各自误差的修正,将偏移性信息消除后的测量结果的准确度应该是一致的,所剩下的就只有各自的离散性指标了。通过这样处理,就可以很容易的得到测量结果可靠程度的定量表征值了。这个值可以是“不确定度”,也可以是“范围”(纯宽度),所以我说它们在表达可靠程度的功能方面是相当的。举例来说,“量值不确定度”的报告形式有X±U,“量值误差范围”的表达形式是X±Δ,我个人认为两者的红字部分(不含符号)在表达可靠度信息的功能方面是相当的。

回复 支持 反对

使用道具 举报

何必 发表于 2014-7-16 22:24:48 | 显示全部楼层
回复 460# 史锦顺


    样本均值的数学期望等于总体均值,即样本均值是总体均值的一致无偏估计,样本的方差(S平方)的数学期望等于总体方差,但是样本标准偏差的数学期望并不等于总体标准偏差!即样本标准偏差只是总体标准偏差的点估计量,但不是一致无偏估计。
回复 支持 反对

使用道具 举报

规矩湾锦苑 发表于 2014-7-17 00:46:15 | 显示全部楼层
回复 461# 路云

  路兄所说的前两点我们观点一致,第3点基本相同。虽然路兄没有说不确定度与误差范围相互“取代”或“代替”的意思,但“取代”或“代替”的意思的确是部分量友的观点,我只是指出这种观点违背了不确定度的定义,是错误的,是在将不确定度与误差范围概念混淆,捣成一锅浆糊。
  我和路兄在第3点的分歧仅在于您认为:“量值不确定度”的报告形式有X±U,“量值误差范围”的表达形式是X±Δ,U和Δ在表达可靠度信息的功能方面是相当的,我认为一点都不相当。
  我认为,虽然U和Δ都是半宽,但U是被测量真值可能存在区间的半宽,Δ是测量结果存在区间的半宽;U用来评判测量结果的可信性,Δ用来评判测量结果的准确性;表达形式X±Δ成立,表示测量结果在X-Δ至X+Δ区间内,表达形式X±U不成立,不存在X-U至X+U这个区间,只存在U这个半宽,因此,其后必须紧跟k=2。
回复 支持 反对

使用道具 举报

njlyx 发表于 2014-7-17 10:05:55 | 显示全部楼层
本帖最后由 njlyx 于 2014-7-17 10:11 编辑

回复 459# 规矩湾锦苑


     早就无意与您纠缠,只是见你不厌其烦的搅合,想把现有“定义”的一点“真谛”搅黄、误导青年后生,有些着急了,也是瞎操心!... 应该向都成先生学习,随您任意搅,只要您没有官方授权,在下就不必回应了。

    只劝愿意用“测量不确定度”的计测后生,有疑问应该设法请教李慎安、叶德培等真行家,不要误信某些人的‘上帝解读’,以免挨骂(如此不知所以的胡解,遭测量结果使用者的奚落是必然之事!)。

     史先生虽然强力鞭挞现行“测量不确定度”,但质疑都在点上,对“测量不确定度”应用的健康发展或是良药。 而某些口头上拥护“测量不确定度”应用【也许是真心拥护?】人士的神仙解读,则实在是自杀的毒药。
回复 支持 反对

使用道具 举报

规矩湾锦苑 发表于 2014-7-17 11:49:12 | 显示全部楼层
回复 464# njlyx

  正如您所说任何人都没有经官方授权,各自表述各自的技术观点才是最重要的,也许某些错误观点客观上有搅合和误导的效果,谁在篡改国家规定的定义,谁在搅合,谁在误导,虽然自有其人,但我认为没有必要在技术论坛争论。有没有必要回帖也是个人的权利,回帖与不回帖都是个人的自由,没有人可强制得了。还是那句话,在论坛回帖完全允许知无不言言无不尽的,回帖就不要怕被人骂,但不怕骂并不是说论坛就允许有人随意谩骂,每个人回帖都应该是友善的,诚心诚意的。
  我自始至终都认为,史锦顺老师强力鞭挞现行“测量不确定度”,其质疑都集中在有人背离国家给不确定度的定义,错误地将不确定度与误差和误差范围相混淆甚至画等号这点上。如果像某些口头上拥护测量不确定度应用的人士,也作出将不确定度与误差和误差范围概念进行混淆甚至画等号那样的“神仙解读”,史老师对不确定度的一切推论和批评就都是正确的。因此,史老师的批评对那些不顾国家定义真谛而随意进行神仙般解读的人士来说击中了本质和要害,一针见血地揭露了这种概念混淆的神仙解读自身矛盾重重,应该是敲响了警钟,对“测量不确定度”的应用及健康发展的确就是一剂良药。
回复 支持 反对

使用道具 举报

285166790 发表于 2014-7-17 15:14:43 | 显示全部楼层
回复 465# 规矩湾锦苑


   说了半天,您到底”正确“解读出来没有啊?
回复 支持 反对

使用道具 举报

星空漫步 发表于 2014-7-17 15:38:27 | 显示全部楼层
规版是非常在意“定义”到底是怎么写的!他爱抠字眼也很正常。
世界上总有爱抠字眼与不爱抠字眼的两种人。

如果大家都认为没有必要抠字眼,就不必同规版争论下了,除非你也认为有必要抠字眼。

科学定义本来就应该严谨,现行的不确定度定义很垃圾!
回复 支持 反对

使用道具 举报

kongshuqin 发表于 2014-7-17 15:57:54 | 显示全部楼层
误差就是“这个值实际是多少”,不确定度就是:“这个实际值得可信度是多少”。具体是这么定义的,就不要去太纠结啦!打开计量论坛,以为有什么新的内容,发现还是在争论这个,失望!这个话题拖的时间太长,该结束啦!
回复 支持 反对

使用道具 举报

规矩湾锦苑 发表于 2014-7-17 18:34:37 | 显示全部楼层
  国家规定了定义本来就应该字字认真解读的。误差就是“这个值实际是多少”或偏离其真值多少,不确定度就是“这个实际值的可信度是多少”。说得简单而非常到位!补充一个误差范围,误差范围就是这个值偏离其真值的量介于多大的区间内。术语的相互混淆本来就是科技领域之大忌,大家该说的都说了,这个话题就此结束吧。
回复 支持 反对

使用道具 举报

 楼主| 史锦顺 发表于 2014-7-17 19:08:09 | 显示全部楼层
本帖最后由 史锦顺 于 2014-7-17 19:11 编辑

回复 468# kongshuqin

       网上讨论,观点各异,这才能开阔眼界,取长补短。习惯于一言堂,不利于学术发展。
       你自己认为正确的“可信度”,实际是几个美国人反对误差理论的一个“托词”,本来就是准确度,偏要说是“可信度”;先生,你自己就受骗上当了。美国人已经绕回来了,你乃在老地方,落后潮流了。
       你想看难的,看看老史下边的几张照片。只要你认真,就不白看。如果你能说出哪儿错了,那就学有所成了。
回复 支持 反对

使用道具 举报

 楼主| 史锦顺 发表于 2014-7-17 20:27:29 | 显示全部楼层
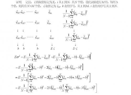
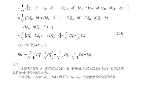
本帖最后由 史锦顺 于 2014-7-17 21:09 编辑

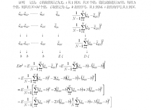
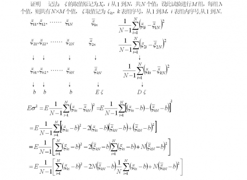
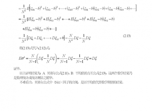
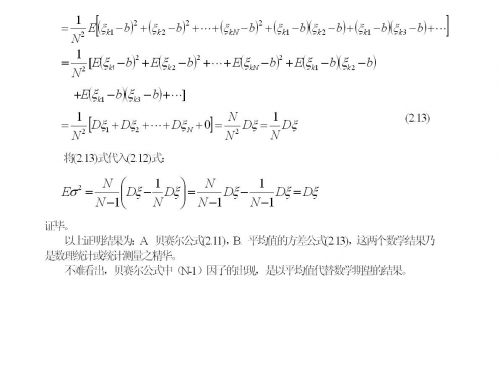
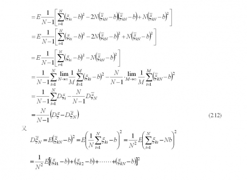
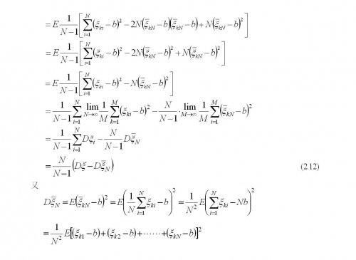
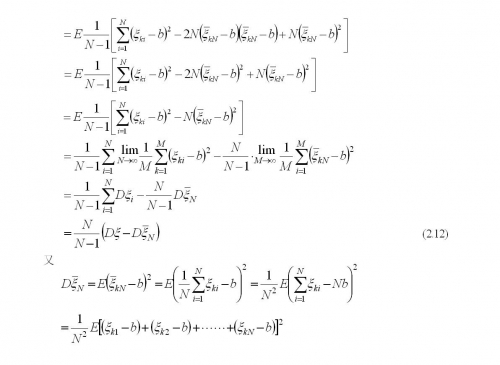
回复 462# 何必


     以下内容,摘抄自拙作《新概念测量学》(2004年,电子版,本栏目中有),仅供参考。图片有些模糊,点击放大一下就清楚了。
-
- 方差1.JPG
- 方差2.JPG
方差3.JPG
- 方差4.JPG
回复 支持 反对

使用道具 举报

何必 发表于 2014-7-17 22:48:35 | 显示全部楼层
本帖最后由 何必 于 2014-7-17 22:54 编辑

回复 471# 史锦顺


    史老,谢谢您的解答,这证明的结论正如我在462楼所说的。虽然样本方差(S平方)是总体方差(酉格玛平方)的一致无偏计,但样本标准偏差(S)并不是总体标准偏差(西格玛)的一致无偏估计,所以您在上面对我回复所说的假设并不成立!
回复 支持 反对

使用道具 举报

路云 发表于 2014-7-17 23:35:01 | 显示全部楼层
本帖最后由 路云 于 2014-7-17 03:44 编辑

回复 463# 规矩湾锦苑

规版至始至终都在搅局,居然把我说的意思都能篡改。关于第3点,请看清楚我的原话,我说的是“可度”,而不是“可度”。“可信度”是可信的程度,那是“置信概率”,而不是“不确定度”。

U是被测量真值可能存在区间的半宽,Δ是测量结果存在区间的半宽U用来评判测量结果的可信性,Δ用来评判测量结果的准确性;”按说您从事计量也有几十年了,不至于糊涂到如此地步吧!首先,我在帖中特地用括号注明了这个“范围”是指纯宽度,不带有任何位置信息;其次,用红字标示了功能地位相当的两部分;第三,特地用括号注明了红字部分不带符号。您还是要将误差信息给我搅和进来,不知何意。“量值不确定度”的报告形式“X±U”和“量值误差范围”的表达形式是“X±Δ”,其中的X 我已经说得很清楚了,都是通过各自误差的修正,将偏移性信息消除后的测量结果,准确度完全一致。此时的真值Y 可能存在的区间,就是测量结果X 存在的区间,X 就是Y 的最佳估计值。对于“范围Δ”来说,测量结果以一定的概率分布在X±Δ区间之内;对于“不确定度”来说,则是表征真值Y 不能确定的区间范围为2U,也就是说真值Y 以95%的概率落在X±U 区间范围内。至于“k=2”是否必须紧跟,请看JJF 1059.1-2012是如何说的:“在通常的测量中,一般取k=2。当取其他值时,应说明其来源。当给出扩展不确定度U 时,一般应注明所取的k值;若未注明k值,则指k=2

回复 支持 反对

使用道具 举报

规矩湾锦苑 发表于 2014-7-18 00:25:41 | 显示全部楼层
回复 473# 路云

  可疑度、可信性、可靠性其实就是同一个特性,都是指对测量结果的怀疑程度,不确定度正是量化评判这个特性的参数。
  测量结果是多个的,变动的,以一定的概率分布在X±Δ区间之内。而被测量真值是唯一的,不变的,“不确定度”就是表征真值Y不能确定的区间范围“宽度”为2U,但并不是说真值Y以95%的概率落在X±U“范围”内。不确定度的定义只是个宽度,丝毫不涉及范围,我们不能有试图将不确定度与区间或范围相联系的想法。
  JJF1059.1-2012说:“在通常的测量中,一般取k=2。当取其他值时,应说明其来源。当给出扩展不确定度U时,一般应注明所取的k值;若未注明k值,则指k=2。”这是告诫人们当评估U时应按顾客或标准要求取k的大小,没有特殊要求时可一律取k=2。但,这决不是说给出U的报告时可以不写k=2。5.2.2条说“对U应给出k值”,说的再明白不过了,5.2.2.1给出的四个示例也无一忘记k=2,这都说明单独写X±U毫无意义。只有后面紧跟k=2,才知道X是测量结果,U是X的扩展不确定度。后面没有k=2,仅仅X±U,就会使人联想到U就是误差Δ,把X±U视为X±Δ,使人错误地将不确定度U和误差Δ混淆不清,甚至画等号。
回复 支持 反对

使用道具 举报

路云 发表于 2014-7-18 06:53:19 | 显示全部楼层
回复 474# 规矩湾锦苑
    不从帮助他人理解的目的出发,死抠字眼,施展绕功与揉功,用概念混淆的手法去解决概念混淆的思维。本主题已讨论到近五百楼,不少量友都觉得在此问题上与您不可理喻,思维被您越梳理越乱。“准确度”、“可靠度”、“可信度”分明表示不同的物理意义,所对应的分别是“误差”、“不确定度”和“置信概率”,到了您嘴里后两者却变成了同样的东西,并又冒出了一个“可疑度”,带着大家在不停的绕。
测量结果是多个的,变动的,以一定的概率分布在X±Δ区间之内。而被测量真值是唯一的,不变的,“不确定度”就是表征真值Y不能确定的区间范围“宽度”为2U,但并不是说真值Y以95%的概率落在X±U“范围”内。不确定度的定义只是个宽度,丝毫不涉及范围,我们不能有试图将不确定度与区间或范围相联系的想法。规矩湾锦苑 发表于 2014-7-17 04:25

    “宽度”与纯宽度的“范围”分明是一个意思,都表示区间的大小,您却偏要将“误差”的概念给扯进来,将两者变成非同种量说事。您这哪里是在帮助大家理解啊,简直就是在搅局、添乱。我在帖中特意将这两部分以红字标识,并再三强调不要将“误差”、位置、正负号等信息给扯进来,咱们就U Δ这两部分单独拎出了进行分析比较,丝毫没有“误差”与“位置”的信息,与“准确度”根本就不搭界,纯粹是一个“可靠度”信息。您却一方面欲让大家理清概念,另一方面却又竭力用概念混淆的手法来加以解释。对此我早有预感。本不想参与,但对您的凌乱、混淆概念的解析方式实在是看不下去了,故才在240楼发帖表达个人观点。到现在仍然没有人能够撼动您那顽固的思维方式。还是用我在240楼的话下个定论吧:“即便是辩到一万楼,估计也是无果的结局。”
回复 支持 反对

使用道具 举报

 楼主| 史锦顺 发表于 2014-7-18 07:56:49 | 显示全部楼层
回复 474# 规矩湾锦苑


       路云先生说:'对于“不确定度”来说,则是表征真值Y 不能确定的区间范围为2U,也就是说真值Y 以95%的概率落在X±U 区间范围内。至于“k=2”是否必须紧跟,请看JJF 1059.1-2012是如何说的:“在通常的测量中,一般取k=2。当取其他值时,应说明其来源。当给出扩展不确定度U 时,一般应注明所取的k值;若未注明k值,则指k=2'
-
      路云先生的话,第一句完全符合VIM3的原意。后边关于k=2”的表达法,完全符合GUM、VIM、JJF1001、JJF1059的规定。误差理论涉及随机误差时,取k值为3,通常不必说明。不确定度理论主张k值取2,因此扩展不确定度通常取k为2,一般都省略,省略k=2的说明已是惯例,又完全符合国际规范,符合国家规范,你还说必须标明k=2,你争这些,还有意思吗?
-
    我明白你争的不是k=2能不能省略;你是以此为借口,反对L=M±U这一表达。反对什么就直说,不必绕到k=2写没写那里去。写不写k=2与能不能表达为L=M±U没有关系。
-
    都成先生曾转达叶德培先生的意思说:VIM3关于区间包含真值的说法,是国际学术界的新研究成果。至于她是赞成还是反对,没有明说。你规矩湾先生,既然承认不确定度是包含真值的区间的半宽,就必须承认:
    1 半宽度必定是区间的半宽度,脱离区间的半宽度,没有意义。
    2 不确定度恒正,是个绝对值。既是区间的半宽,就得承认是对称区间的半宽。
    3 既是对称区间,就得承认有区间中心。
    4 区间中心只能是测得值。再说真值是对称中心,逻辑错误。真值是区间中的一个点。自己不能是自己可能存在区间的中心。
    5 区间包含测得值与真值,必定是定位的区间。悬浮的区间,毫无意义。
    6 以上5条的综合表达就是公式 L=M±U .
-
    总之,你反对L=M±U的表达,是没有道理的,是不符合VIM3的,更直接对抗JJF。望君思之。
-
回复 支持 反对

使用道具 举报

 楼主| 史锦顺 发表于 2014-7-18 09:03:10 | 显示全部楼层
本帖最后由 史锦顺 于 2014-7-18 09:11 编辑

回复 472# 何必


         平方与平方根(规定取正值)是完全一一对应的。既然平方是无偏的,贝塞尔公式算出的西格玛就是可信赖的。我的推导中,没做任何假设,因此不存在假设不成立的问题。
回复 支持 反对

使用道具 举报

星空漫步 发表于 2014-7-18 09:43:07 | 显示全部楼层
回复 477# 史锦顺


    过去多少学过一些统计学,当然只学到了皮毛。印象中好像有σn与σn-1的区别一说,如果统计样本是全体,或者说是全的,则适用前者,否则适用后者,这一点在EXCEL的函数中也有区分,似乎与平方不平方的无关。只要统计样本没有收集全、统计结果就不可能是无偏的,随着统计样本数的增多,统计结果只能越来越接近无偏估计。哪怕是少用了一个统计样本,其统计结果依然是有偏的,只是偏多偏少的差异而已。
回复 支持 反对

使用道具 举报

 楼主| 史锦顺 发表于 2014-7-18 11:04:16 | 显示全部楼层
回复 478# 星空漫步


    统计学的“无偏”不是要求相等,而是该值的极限等于目标值。
     1  σn的平方的极限不等于方差Dξ,因此σn的平方不是方差Dξ的无偏估计;
     2  σn-1的平方的极限等于方差Dξ,因此σn-1的平方是方差Dξ的无偏估计。
     我证明的是第2点。这是原有的理论,不是我的发现。由于有第2条,人们就更相信贝塞尔公式。
回复 支持 反对

使用道具 举报

规矩湾锦苑 发表于 2014-7-18 12:33:50 | 显示全部楼层
回复 476# 史锦顺

  关于包含因子k,JJF1059.1在两个地方提出了使用要求:
  其一是在标准不确定度分量的B类评定时,用被测量可能值的半宽a除以包含因子k,就是该输入量给测量结果引入的标准不确定度分量。在这一步评估计算中,必须正确选择k的大小,当已知k时直接使用k值;不知k值而知道输入量分布状态时按表2、表3选择k值;不知k值,也不知分布状态时,按中庸偏保守的原则取k=√3。
  其二,是在不确定度评定结束给出不确定度报告时,5.1.1条明确规定“完整的测量结果应报告被测量的估计值及其测量不确定度以及有关的信息”,目的是“以便使用者可以正确地使利用测量结果”,“有关信息”就是包含因子k,有效自由度Veff、包含概率p,或包含因子kp。显然如果给出的是扩展不确定度U,只给出测量结果y及其不确定度U,不给出有关信息k的做法是不符合规定的。5.1.3条规定了“如果没有特殊要求,一律报告扩展不确定度U”,评估U使用的包含因子“一般取k=2”。5.2.2条d)款还特别明确规定了“对U应给出k值”,5.2.2.1条更是详细给出了四个示例,这四个例子告诉我们那个k=2截然不可遗漏。
  因此,仅仅报告L=M±U,而不报告k=2,是违反不确定度报告基本要求的,是不合格的报告,必须坚决反对。这种报告与误差理论中对测量结果及其误差的报告形式L=M±Δ极易混淆,以至于业内一些精英也误认为U就是Δ,甚至提出了“本来就是要用扩展不确定度代替误差范围”的观点。打个不够确切的比喻,菜刀和绣花针都是工具,但用菜刀代替绣花针的做法将是可笑的,不允许的。因此,对这种违反规定的错误不确定度报告必须退回去,要求其查找原因重新评定和报告。
回复 支持 反对

使用道具 举报

何必 发表于 2014-7-18 17:05:56 | 显示全部楼层
本帖最后由 何必 于 2014-7-18 17:11 编辑

回复 477# 史锦顺

     史老,我是指你在460#的假设不成立。

“能不能这样说:总体均值就是平均值的期望值。样本均值就是测得值的平均值。样本标准差就是按贝塞尔公式算出的标准偏差,就是单值的σ。而总体的标准偏差就是单值的σ的期望值。如术语代换成立,则有:”

按贝塞尔公式算出的样本标准偏差(实验标准偏差S),样本标准偏差S的数学期望不会等于总体的标准偏差σ。即样本标准偏差S不是总体标准偏差σ的一致无偏估计。

所以我们在实际工作中以样本标准偏差S代替总体的标准偏差σ,这种代替会产生一定的差异(S-σ),这差异如何评估才是我想要知道的问题!


你的问题,换一下术语,我就可以回答些。

我看过的统计学书不多;只是在误差理论的书籍中转,不熟悉统计学的术语。

我理解,横向的“总体”可以变成纵向的“无限”,而横向的N个采样,可以变成纵向的N次采样。纵向的思维,更适用于测量计量。

能不能这样说:总体均值就是平均值的期望值。样本均值就是测得值的平均值。样本标准差就是按贝塞尔公式算出的标准偏差,就是单值的σ。而总体的标准偏差就是单值的σ的期望值。如术语代换成立,则有:

1 标准偏差的标准偏差(σ的σ)是:

下载 (8.31 KB)
前天 21:22


N是测量次数(样本数)。例如N=9,标准差的标准差是1/4N=51.则标准差的标准差是1/10

此公式引自冯师颜编《误差理论与实验数据处理》(1964年,科学出版社)。冯氏给出的公式来历为:

         Rossini and Deming,J.,Wash.Acad.Sci.29(1939),416.

此文献很早(我没查过,也不会推导),大而老的图书馆,如北京图书馆、北大图书馆,肯定有。

-

2 如果说:样本均值就是测得值的平均值;总体均值就是平均值的期望值。于是,题目就变成平均值的σ是多少。

按贝塞尔公式算得的是单值的σ。平均值的σ记为σ(),则σ()等于σ除以根号N.

σ是均方根值,测量计量中的单值的偏差范围是3σ;而平均值的偏差范围是3σ()。偏差是统计测量(快变量测量)的称呼。经典测量是常量测量,讲究的是测得值对真值的偏离,要称作误差。

回复 支持 反对

使用道具 举报

 楼主| 史锦顺 发表于 2014-7-18 19:00:39 | 显示全部楼层
本帖最后由 史锦顺 于 2014-7-18 19:20 编辑

回复 481# 何必

       先生说:“我们在实际工作中以样本标准偏差S代替总体的标准偏差σ,这种代替会产生一定的差异(S-σ),这差异如何评估才是我想要知道的问题”!
-   
      史答:上次的公式放得太大,缩小3倍如下,并称为"A公式".
----------

---------- 公式1.JPG
      A公式就是样本标准偏差S代替总体的标准偏差σ的差异。这是相对偏差,乘以S就是S的绝对偏差。当然求偏差范围还要乘以3,因此S的绝对偏差范围是3Sσσ 。我以前没这样细致地考虑过这个问题,仅供参考。
     1980年代,我在北京听过阿仑的学术报告。他说:随机偏差实测达σ的相对波动小于1/5,就是很好的测量结果;1/3以下就算合格。我的实际工作,大致以小于1/5为目标。理论上的差异再小,被波动性掩盖了,因此考虑理论问题,估计到实际可能,是很重要的。也就是说:该忽略时就忽略。测量计量是物理,不是纯数学。
回复 支持 反对

使用道具 举报

您需要登录后才可以回帖 登录 | 立即注册

本版积分规则

Archiver|手机版|小黑屋|计量论坛 ( 闽ICP备06005787号-1|闽公网安备35020602000072号 )
电话:0592-5613810 QQ:473647 微信:gfjlbbs 原国防计量论坛(-=始于2005年=-)

GMT+8, 2026-4-13 15:09

Powered by Discuz! X3.5

© 2001-2026 Discuz! Team.

快速回复 返回顶部 返回列表