找回密码
 立即注册

QQ登录

只需一步,快速开始

搜索

[答疑互助] 一道计算题求解

 火... [复制链接]
daxtz 发表于 2012-9-5 11:50:46 | 显示全部楼层
各位没有考虑方法和计数引起的不确定度,测量时采取何种接法,电压表中流过的电流有没有在电流表中流过?或电压表测量的电压是否包括电流表两端的电压?接线方法的不同,不确定度评定应是不一样的。
回复 支持 反对

使用道具 举报

珍家嘎嘎 发表于 2012-9-5 15:13:31 | 显示全部楼层
这个题还是很有意思的~
回复 支持 反对

使用道具 举报

刺玫儿 发表于 2012-9-6 11:38:39 | 显示全部楼层
同意11楼的解法。
回复 支持 反对

使用道具 举报

美丽一生 发表于 2012-9-6 15:50:56 | 显示全部楼层
18楼写得很明了,同意这种做法
回复 支持 反对

使用道具 举报

zzzhang 发表于 2012-9-6 17:12:13 | 显示全部楼层
回复 18# 规矩湾锦苑


  P=UI,是相乘的关系,还可以计算相对不确定度,这样就不用计算灵敏度系数了
回复 支持 反对

使用道具 举报

1qaq11 发表于 2012-9-6 19:28:04 | 显示全部楼层
感谢分享学习了
回复 支持 反对

使用道具 举报

小战士 发表于 2012-9-6 20:59:27 | 显示全部楼层
回复 1# 日全食


    我认为应该这样评定:
   1.建立数学模型:P=IV,则得到P1=234.15W,P2=238.5W,P3=237.44W,P4=240.75W,P5=241.82W,P6=237.54W,六组数据,用贝塞尔公式求得重复性带来的不确定度分量u(w1)=2.718W;
   2.由对数学模型:P=IV求偏导,得到C(i)=V,C(V)=I;
   3.电流前六个数平均值为I=1.063A,电压平均值V=224.167V。
   4.已知电流I采用示值允差为±1.0%,服从均匀分布k=√3,半宽区间0.01,因此u(Irel)=0.01/√3=0.0058,转换为绝对不确定度:u(I)=u(Irel)×I=0.006A;
      则电流带来的不确定度分量u(wI)=u(I)×C(i)=0.006A×224.167V=1.376W;
   5.电压扩展不确定度为5%(相对于指示值,k=2),则电压相对不确定度为u(Vrel)=5%/2=0.025,转换为绝对不确定度u(I)=u(Vrel)×V=5.604V;
     电压带来的不确定度分量u(wv)=u(v)×C(v)=5.604V×1.063A=5.957W;
   6.分量中电压和电流互不相关,即相关系数为0,则有u(w)=(u(w1)^2+u(wI)^2+u(wv)^2)^1/2=6.691W,k取2,则扩展不确定度U(w)=6.691W×2=13.38W,U(w)取13W.
   7.由3知:电流平均值为I=1.063A,电压平均值V=224.167V,则功率P=IV=238.289W,P末位应与不确定度末位对齐,故P=238W.
   8.结论:P=(238±13)W,k=2
回复 支持 反对

使用道具 举报

小战士 发表于 2012-9-6 21:03:18 | 显示全部楼层
回复 32# 小战士


    或者说前面提到的P1到P6平均值为238.3667W,末位与不确定度末位对齐P取238W。
回复 支持 反对

使用道具 举报

小战士 发表于 2012-9-6 21:12:45 | 显示全部楼层
回复 11# handlion


    我觉得你这样做既麻烦,又不大可靠。不可靠的原因是楼主给出8次电流测量值,而只给出6次电压测量值,根据数学模型P=IV,我们只能对其六组数据进行评定,你分析了8次电流实验室标准偏差,因此导致该偏差变小,进而导致总体不确定度变小;因为电流取8次平均值,而导致电流平均值变大,所以最后给出结论时,导致P值变大。第2页有我的评定过程,欢迎批评指正。
回复 支持 反对

使用道具 举报

规矩湾锦苑 发表于 2012-9-7 01:11:26 | 显示全部楼层
回复 34# 小战士

  你的结果虽然没有错,但是不确定度评定过程是错误的。这是因为P=IV计算出测量结果P用的是8次电流测量结果的平均值与6次电压测量结果的平均值之积得到的,而不是单次电流测量和单次电压测量结果的积得到,因此两个不确定度分量的A类评定不可以省略。只不过因为两个A类评定的标准不确定度分量比较小,才使你的答案与准确答案巧合,如果是考试,是注定要扣分的。
回复 支持 反对

使用道具 举报

规矩湾锦苑 发表于 2012-9-7 01:36:59 | 显示全部楼层
回复 30# zzzhang

  你说的很对。如果用黑箱模型处理,不确定度评定过程应该如下:
1. I=1.065A;V=224.17V;
2. 数学模型:P=IV
3. 测量结果:P=IV=1.065×224.17=239W
4. 灵敏系数:因为数学模型是纯乘除关系的单项式,可按黑箱模型相对不确定度评定 C(I)=C(V)=1
5. 标准不确定度分量:
5.1测量I引入的标准不确定度分量u(I)
5.1.1由电流重复性测量引入的不确定度分量u(I1)
  可用不确定度的A类评定方法,根据8个测量数据,可得:u(I1)=0.003A;
  转化为相对不确定度 u(I1)rel=0.003A÷1.065A=0.003
5.1.2由测量设备电流表计量特性引入的不确定度分量u(I2)
  电流表示值误差±1.0%,半宽1.0%,按均匀分布,u(I2)rel=1.0%/(3^0.5)=0.006
5.1.3求I引入的标准不确定度分量u(I)
  u(I)=(0.003^2+0.006^2)^1/2=0.007
5.2测量V引入的标准不确定度分量u(V)
5.2.1由电压重复性测量引入的不确定度分量u(V1)
  可用不确定度的A类评定,根据6个测量数据,可得:u(V1)=0.6V;
  转化为相对不确定度 u(V1)rel=0.6V÷224.17V=0.003
5.2.2由测量设备电压表计量特性引入的不确定度分量u(V2)
  电压表不确定度U(V2)rel=5%,k=2引入的不确定度分量,u(V2)rel=2.5%=0.025
5.2.3求V引入的标准不确定度分量u(V)
  u(V)rel=(0.003^2+0.025^2)^1/2=0.025
6. 合成标准不确定度
  uc(P)rel=(0.007^2+0.025^2)^1/2=0.026
7. 扩展不确定度 U(P)rel=0.026×2=0.052,U(P)=0.052×239W=13W
8. 结果:功率P=(239±13)W;k=2。
回复 支持 反对

使用道具 举报

xwjtmc 发表于 2012-9-7 10:10:48 | 显示全部楼层
回复 8# 规矩湾锦苑


你好牛
回复 支持 反对

使用道具 举报

zzzhang 发表于 2012-9-7 10:37:21 | 显示全部楼层
回复 36# 规矩湾锦苑


    赞同,思路清晰,数据准确
回复 支持 反对

使用道具 举报

潘磊 发表于 2012-9-7 10:45:02 | 显示全部楼层
回复 18# 规矩湾锦苑


    还不是还需要用统计的方法算一下他们的相关性啊~~
回复 支持 反对

使用道具 举报

小战士 发表于 2012-9-7 19:44:26 | 显示全部楼层
回复 35# 规矩湾锦苑


    在阻值一定的情况下,电压和电流成反比,所以不能独立测完电流再测电压,也就是说不能独立地评定电压、电流;只能是在测量电压的同时读取电流,进而计算功率才接近真值,单独测量电压、电流得不到功率真值,在重复性小的情况下只是凑巧接近真值而已。因此,你的评定过程不正确。
回复 支持 反对

使用道具 举报

天行健客 发表于 2012-9-7 21:10:33 | 显示全部楼层
回复 40# 小战士

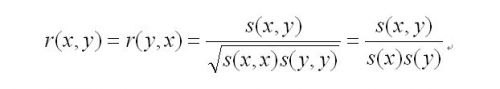
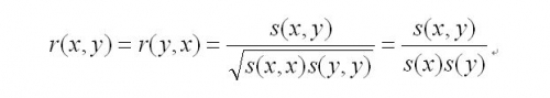
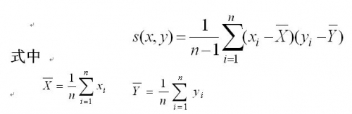
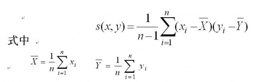
如果照你方法测量(数据是一组一组的)将引进相关性,须先用有如下公式计算相关系数
截图00.jpg 截图01.jpg





但很显然按题意其测量据独立性,故同意版主解法。
回复 支持 反对

使用道具 举报

小战士 发表于 2012-9-7 21:42:08 | 显示全部楼层
回复 41# 天行健客


    实际测量跟题意无关的,实际测量中,电流与电压必须同时测得,计算结果功率才趋向真值;这道题跟面积不一样,面积的长和宽可以单独测量,互不影响,而阻值一定的情况下,电压和电流成比例关系,再说的通俗一点,就是电压的大小直接决定功率的大小,因此,电流多少次都无关大局。
回复 支持 反对

使用道具 举报

小战士 发表于 2012-9-7 21:50:47 | 显示全部楼层
回复 41# 天行健客


    其实你看到的所谓版主解法可以行的通,,但是太过繁琐,也不符合他自己建立的数学模型,最要命的是他没有注意到电压跟电流的比例关系,而生搬硬套评定模式,不确定度初级学习者可以按照他的评定模式进行评定,但是等你达到一定水平后,肯定会往我的模式发展的,不是我水平有多高,因为我刚学不确定度时跟他的思路一致,刚参加了个学习班,我带了个相似的问题问过老师,老师给我的答案,就是我上面提到的评定过程,即整体评定。
回复 支持 反对

使用道具 举报

天行健客 发表于 2012-9-7 21:56:18 | 显示全部楼层
本帖最后由 天行健客 于 2012-9-7 22:04 编辑

回复 42# 小战士


    理论上电阻一定,电压决定了电流,但你要知道这是在测量,并且由题意可知电阻值并不知晓,因此你只有测出电压和电流的值,才能决定P值,一般的电阻值是最不可靠的,容易变化,例如着温度效应,这就引起了整个测量值的变化,这只是举例,实际上还有其它的不确定因素,因此通常用平均值代替。
   你所用的成组测量,很显然是另一种评定方式,这得考虑两者的相关性!
回复 支持 反对

使用道具 举报

规矩湾锦苑 发表于 2012-9-7 21:58:20 | 显示全部楼层
回复 40# 小战士

  呵呵,我不是搞电磁计量的,不懂电功率测量,我是根据楼主提供的题意,就题论题来谈如何解题的。
  楼主的题目是测量电功率,但没用功率表,而是用电流表测8次电流,得8个电流值,再用电压表测6次电压,得6个电压值,并告知电流表示值允差为±1.0%(注:不是告诉的不确定度),电压表扩展不确定度为5%,k=2(注:没有告诉示值误差)。求这种情况下的电功率测量结果及其不确定度。
  如你所说“不能独立测完电流再测电压”,不用说别的,至少测量次数8≠6就违背了你的理论,岂不是这道题本身就违反科学了?也就是说这道题是错误的,应该无解。这样的话,我们两个的解答是不是都错了?
回复 支持 反对

使用道具 举报

规矩湾锦苑 发表于 2012-9-7 22:17:34 | 显示全部楼层
回复 43# 小战士

  我承认我的评定过程有点繁琐,但规范的不确定度评定报告是要按JJF1059规定的步骤进行的,丢三落四或者颠三倒四都可能会导致错误的结果。
  当然在日常评定过程中,如果是不确定度评定的行家里手省略其它的步骤,用最简捷的步骤单刀直入得出最终评定结果是可行的,也是有效的。但如果遇到要求作出规范的不确定度评定报告,或者是培训和考试,还是应该一步步说清楚,不要随意精简评定过程。在考试中每一个步骤都是有分数的,步骤错了、漏了、颠三倒四了,都还是要扣分的。
  关于我评定过程中不符合自己建立的数学模型,还请你帮我指出,在此先表示感谢了。
回复 支持 反对

使用道具 举报

小战士 发表于 2012-9-7 22:35:53 | 显示全部楼层
回复 46# 规矩湾锦苑


    很简单,你的模型是P=IV,也就是说你应该得到一组P值,通过A类评定来得到P标准方差;然后再求别的分量带来的P值的不确定度分量,而你的过程是把P值给人为拆分了,然后再合成,这一拆一合肯定影响最后结果;再就是拆分以后,你的评定过程给我的感觉就是不是在评定功率P。可能说话有得罪之处,我是对事不对人,可别往心里去,我这先陪个礼。
回复 支持 反对

使用道具 举报

小战士 发表于 2012-9-7 22:53:30 | 显示全部楼层
回复  小战士

如果照你方法测量(数据是一组一组的)将引进相关性,须先用有如下公式计算相关系数






...
天行健客 发表于 2012-9-7 21:10



    你是正确的,这里的电压和电流应该强相关,相关系数为1,我的评定结果是错误的,不确定度应该还大。
回复 支持 反对

使用道具 举报

规矩湾锦苑 发表于 2012-9-7 23:39:56 | 显示全部楼层
回复 47# 小战士

  没关系,都是一家人在讨论问题,不存在得罪和赔礼问题。
  所谓数学模型实际上就是测量过程的数学表达方式。P=IV表示电功率P的测量结果与间接被测量电流、电压之间的计算关系,不一定数据是一组一组的相对应。楼主的案例就是电流测量8次取平均值得到电流测量结果,电压测量6次取平均值得到电压测量结果,然后电流和电压的积就是电功率的测量结果。
  如果说电流和电压都是通过一次测量得到,你的评定结果应该是正确的。可是现在仅就电流的测量而言,测量结果是8次测量的平均值,不是一次测量所得,平均值的标准不确定度能够和单次测量的结果标准不确定度相等吗?JJF1059.1-2011的5.3.2.5条说的非常明白:“以算术平均值X(均)为测量结果,测量结果的A 类标准不确定度为:uA(X)=u(X均)=Sp/√n。……。若只测一次,即n=1,则uA(x)=Sp/√n=Sp。”(说明:n为测量次数,Sp为实验标准差)。
  因此,电流测量结果的不确定度分量应该先考虑用一个A类评定,然后考虑测量设备电流表引入的不确定度分量(可用B类评定),再合成而得到。电流如此,电压也如此,电流和电压都是以多次测量的平均值得到测量结果,只不过做A类评定时,二者的测量次数n不同而已。将分别合成后的电流、电压标准不确定度再合成,才能够得到电功率的标准测量不确定度。按照这种思路才能正确评估电功率的不确定度结果。
回复 支持 反对

使用道具 举报

规矩湾锦苑 发表于 2012-9-7 23:46:58 | 显示全部楼层
本帖最后由 规矩湾锦苑 于 2012-9-7 23:48 编辑

回复 48# 小战士

  请说明强相关的理由。相关系数为1,难道说电流变大,电压也跟着变大?
回复 支持 反对

使用道具 举报

您需要登录后才可以回帖 登录 | 立即注册

本版积分规则

Archiver|手机版|小黑屋|计量论坛 ( 闽ICP备06005787号-1|闽公网安备35020602000072号 )
电话:0592-5613810 QQ:473647 微信:gfjlbbs 原国防计量论坛(-=始于2005年=-)

GMT+8, 2026-4-14 20:20

Powered by Discuz! X3.5

© 2001-2026 Discuz! Team.

快速回复 返回顶部 返回列表