找回密码
 立即注册

QQ登录

只需一步,快速开始

搜索

[质量体系与标准] 关于校准周期的推算

[复制链接]
ablackdark 发表于 2012-5-21 15:00:34 | 显示全部楼层 |阅读模式

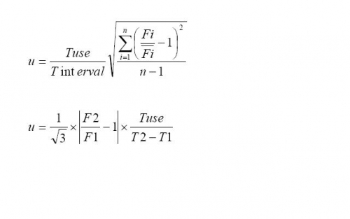
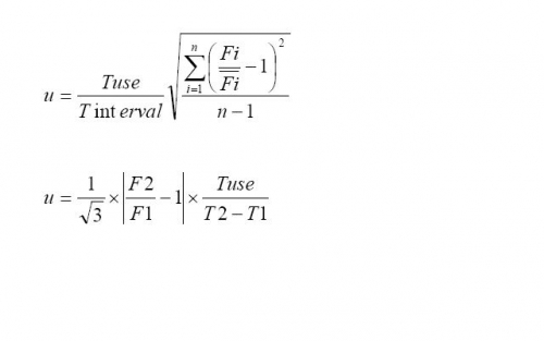
公式

公式



小弟不才,最近看到一份标准中对于Long-term stability的描述,意思貌似是延长校准周期。我的大致理解是这样的:经过连续数次的期间核查,核查周期一致,比如都是一个月。经过该标准的公式计算可以得出一个使用周期。我的知识有限,希望通过我抛的砖能引来各位的玉。

贴上该标准的2公式。该原文在Page29 IEC62475-2010
 楼主| ablackdark 发表于 2012-5-23 14:19:09 | 显示全部楼层
望回复。。。。。。
回复 支持 反对

使用道具 举报

您需要登录后才可以回帖 登录 | 立即注册

本版积分规则

Archiver|手机版|小黑屋|计量论坛 ( 闽ICP备06005787号-1|闽公网安备35020602000072号 )
电话:0592-5613810 QQ:473647 微信:gfjlbbs 原国防计量论坛(-=始于2005年=-)

GMT+8, 2026-5-17 03:55

Powered by Discuz! X3.5

© 2001-2026 Discuz! Team.

快速回复 返回顶部 返回列表