找回密码
 立即注册

QQ登录

只需一步,快速开始

搜索

[概念] 不确定度理论的五大难关(2)——第二关:难算的相关系数

[复制链接]
史锦顺 发表于 2014-8-10 19:18:52 | 显示全部楼层 |阅读模式
本帖最后由 史锦顺 于 2014-8-10 19:41 编辑

-

                  不确定度理论的五大难关(2)

                                        ——第二关:难算的相关系数

-

                                                                                                                                     史锦顺

-

(一)“方和根合成”的条件

误差理论是经典测量学的基础。误差理论把误差分类为系统误差与随机误差。随机误差自身的处理方法是对多个误差元取“均方根”,用贝塞尔公式计算标准误差σ,几个随机误差合成用“方和根”。测量仪器误差,包括未定系统误差(只知大小界限,不知数值与符号)与随机误差。随机误差间按“方和根法”合成;此外,取绝对值之和,称为“绝对和法”。

“绝对和法”的理论基础是二量和的绝对值小于等于二量绝对值之和。误差元是测得值减真值,误差范围是误差元的绝对值的一定概率意义下的最大可能值。因此,计算误差范围,就是计算误差元绝对值的最大可能值。所以,取绝对和,没有条件限制,绝对和法公式对任何情况都成立。

-

不确定度理论指谪误差理论合成公式不统一,于是推行一律取方和根。统一是统一了,但前提出了问题。方法本身不合理、不成立,统一造成错误。

“方和根法”成立的条件是:二量合成:二量和的平方等于各量平方的和。由此类推,N个量合成:诸量和的平方等于各量平方的和。

诸量和的平方等于诸量平方的和,这是随机误差研究的成果。误差量有正有负,要变成绝对值,才能避免在处理与运算中被消掉。去掉负号有两种方法。第一法是取绝对值。对和取绝对值,就得到“绝对和法。第二法是平方再开方,因为初等数学平方根为正值,也达到去掉符号的作用。任何单项都可以平方再开方,得到绝对值。第二法用于多项式,衍生出“方和根法”。但这是有条件的。就是各交叉相乘项之和为零(或很小)。这点称为抵消效应。抵消的效果,用相关系数来表征。相关系数为零,称“独立”。

方和根法的第一条件是各量独立。

方和根法的第二条件是大量。

人们通常注意第一条件;笔者认为第二条条件也是必要的。量小,两三个数,难谈抵消作用。

由上,随机变量,特别是对称分布的随机变量,可以满足条件。精密测量,取值10个以上,随机误差满足条件。

-

测量仪器的绝大多数是以系统误差为主的。对于系统误差,“绝对和法”当然包容;但“方和根法”,对大多数情况则不适应。相关或部分相关,不确定度论的做法是一律假设“独立”、“不相关”。这是掩耳盗铃,是错误的。

有人说,规范上不是说要计算相关系数吗?不计算,不能怪理论本身。

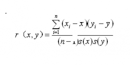
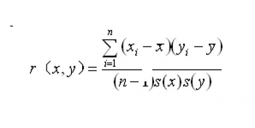
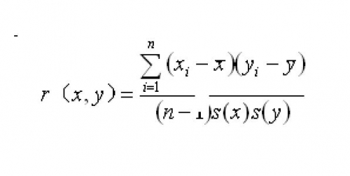
其实,计算相关系数是不确定度论的一大难关。GUMVIMJJF,各种书籍,大量的不确定度评定样板,有一个计算相关系数的吗?没有。

不确定度论难过计算相关系数这一关。笔者提出更严重的问题:现行的相关系数公式,不能反映系统误差的相关性。

-

(二)相关系数公式分析??看,绝对值合成法的内容,要熟练掌握,很有用。

4 浪费说是不确定度论为否定误差理论而编造的谎言。没用的消费叫浪费;有用的开支是必要的成本。“绝对值合成”是“磨刀不负砍柴工”,一分的支出,多倍的效果。值。

5 “方和根合成法”,是好方法,适用条件是“随机”“不相关”“大量”。其实,我几十年的测量生涯,基本是用“方和根”而且主要是“均方根”。然而,该用时用,“一律方和根法”就成灾。

6 方和根法的基础是“二量之和的平方,等于二量平方的和”,这在5的条件下成立,而对大多数测量与仪器设计是不成立的。也就是说是错误的。工程或生产,你仪器上省了一千元,造成的损失,可能是一百倍、一万倍;在测量仪器上讲节约,肯定得不偿失。

7 我搞过几项新仪器设计,参与过铯频标NIM1的研制,发明过一项国家阻抗标准(1965,双探针法定度标准负载),特别是参加过多次计量院、电子部以及本所的新产品鉴定会。“绝对值合成”是严于律己,容易通过;“方和根法”貌似合理,实则有隐患;聪明的设计者没必要自找苦吃。

8 我验收并使用过多种美国著名公司的测量仪器。首次验收,基本都在计量院进行。且长期使用证明,测量仪器的实际误差范围,都仅仅是其误差范围指标值的一半以下,有的是1/3,甚至是1/5。误差范围算得大,指标留有较大余地,信誉就高。这是非常核算的。

9 归根到底是误差量本身的特点。误差的“上限性”极为重要。一般量要求准,而误差量越小越好。自己把自己的产品误差范围说得大些,是必要的、有利的。按准确度等级生产的测量仪器,一般都要把实测误差范围放大两倍以上而纳入产品规格系列。何在乎“合成法”那点名义上的收益?

10 更重要的原因是不确定度宣扬的“一律方和根”合成,是个陷阱,是无法越过的难关,是骗人的一条死路。 除满足“独立”,“数量大”那些纯粹的随机误差与随机变量外,测量计量遇到的最大量情况是既有随机误差又有系统误差,而一般是以系统误差为主的(靠多次测量,随机误差可以减小)。这就必须计算相关系数,而这是很烦、很难的事。我见过几百个不确定度评定的样板,没有一个是计算相关系数的。都是假设“不相关”“独立”,这纯粹是“掩耳盗铃”,完全是蒙混。

著名的费业泰的著名大学教材,讲半天相关系数,到头来计算还是“假设独立”。算圆柱体体积,用卡尺测量直径与高度,竟假设误差“独立”,怎么可能?我不是瞧不起费先生,我是说,任何人相信“方和根”合理,都是没用的,因为你不可能去算那不好算的相关系数。

有人说:再难也要学,也要做。我说,要看什么事。生孩子难,但要维持人类的繁衍,妇女们还要知难而行。游泳过长江难,但现在有长江大桥,过长江如履平地,何必游水过江。“方和根”要计算协方差,要做大量实验,何必?“绝对值合成”不就成了吗?有桥不走,你去游泳过江吧。也许你说,没那么难吧。好,我想起不久前讨论计算的那个题目:测量长方形的面积.。用卡尺测量,长100毫米,误差范围0.1毫米;宽50毫米,误差范围0.1毫米。一位网友的计算是,假设独立(不能怪他,假设独立是常规)。我说不独立,你也认为不独立。我认为:管它独立不独立,就用“绝对值合成”,于是一分钟算完,求得的面积误差范围,保险,可用。你既然主张按“方和根”处理,因为你已认定不独立(当然是对的),那你就必须算一算长宽误差之间的相关系数。我看这不仅是游泳过长江,水性好的,是能游过的;应该比做是游泳过太平洋,不可能。

-

相关系数.JPG
njlyx 发表于 2014-8-10 22:19:17 | 显示全部楼层
本帖最后由 njlyx 于 2014-8-10 22:57 编辑

回复 1# 史锦顺

      史先生好像对本人的认识有点误会?-----
  【 njlyx先生:

得知您主张“方和根法”,而反对“绝对值合成法”。...  】


对于“测量误差限”R的‘合成’("测量不确定度”的‘合成’同理),本人的观点为:既不赞同一律按“绝对和”,更反对一律按“方和根”! 还是应该‘尽量’区分情况。“测量误差限”R值的‘确定’免不了“风险”与“成本”的博弈,“相关性”的认定或正是“专家”发挥技术水平之所? ......“测量误差限”R值的‘合理性’最终只能由‘检定’结果说明:比‘检定’出的最大误差|Δ|max刚好大一丁点儿的R值是‘最合理的’--- 这种‘合理性’是不可能靠几条刚性的条文来保证的,需要必要的经验和责任心,也需要一定的风险担当魄力。


除了各级计量标准及风险后果严重的尖端应用,还有大量测试结果是用在风险后果轻微的场合,如果涵盖全面,不宜一味“稳妥”,“专家”还是应该有点用处---有时真能省钱的。


“误差理论”把误差分类为“系统误差”与“随机误差”,其最大的实用就是简洁处理“测量误差”的‘相关性’! 这是应当继承的方法---可惜现行的“不确定度”未能正视,只是分类的名称宜适当调整。因为最终遗留于测量结果中的“测量误差”其实都是“随机量”(或叫‘不确定量’),原来将其区分为“系统误差”与“随机误差”,实际是区分相应误差序列的‘自相关性’--基于此,便可简洁处理各误差分量间的‘互相关性’!

回复 支持 反对

使用道具 举报

崔伟群 发表于 2014-8-12 11:58:34 | 显示全部楼层
史老的评论走上了正轨,不管对错,先支持下。
回复 支持 反对

使用道具 举报

奇开得胜 发表于 2021-1-9 20:51:57 | 显示全部楼层
通俗易懂,深入浅出,向专家学习了
回复 支持 反对

使用道具 举报

您需要登录后才可以回帖 登录 | 立即注册

本版积分规则

Archiver|手机版|小黑屋|计量论坛 ( 闽ICP备06005787号-1|闽公网安备35020602000072号 )
电话:0592-5613810 QQ:473647 微信:gfjlbbs 原国防计量论坛(-=始于2005年=-)

GMT+8, 2026-4-13 18:08

Powered by Discuz! X3.5

© 2001-2026 Discuz! Team.

快速回复 返回顶部 返回列表